Приказ Управления государственной охраны объектов культурного наследия Свердловской области от 12.11.2024 № 709
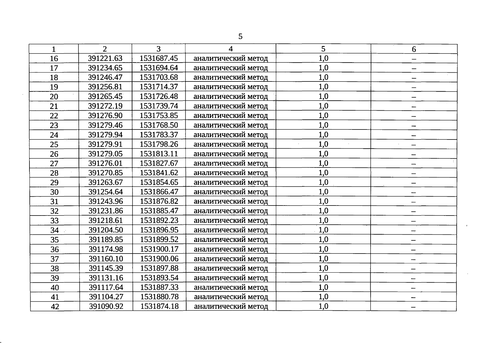
"Об утверждении графического описания местоположения границ защитной зоны объекта культурного наследия регионального значения "Особняк", расположенного по адресу: Свердловская область, г. Екатеринбург, ул. Кирова, д. 1, с перечнем координат характерных точек этих границ в системе координат, установленной для ведения Единого государственного реестра недвижимости, и режима использования земель в границах данной защитной зоны"
(Зарегистрирован 14.11.2024 № 2286)
"Об утверждении графического описания местоположения границ защитной зоны объекта культурного наследия регионального значения "Особняк", расположенного по адресу: Свердловская область, г. Екатеринбург, ул. Кирова, д. 1, с перечнем координат характерных точек этих границ в системе координат, установленной для ведения Единого государственного реестра недвижимости, и режима использования земель в границах данной защитной зоны"
(Зарегистрирован 14.11.2024 № 2286)
Номер опубликования: 6601202411140025
Дата опубликования:
14.11.2024
