Официальное опубликование правовых актов
ОФИЦИАЛЬНОЕ ОПУБЛИКОВАНИЕ
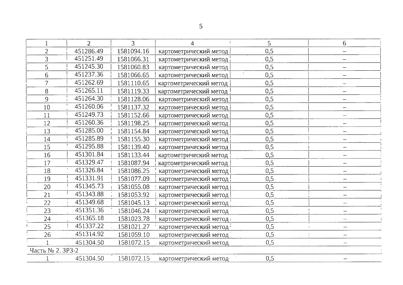
Приказ Управления государственной охраны объектов культурного наследия Свердловской области от 12.11.2024 № 707
"Об установлении зон охраны объекта культурного наследия местного (муниципального) значения "Господский дом", расположенного по адресу: Свердловская область, г. Реж, ул. Советская, д. 4, и утверждении требований к градостроительным регламентам в границах данных зон"
(Зарегистрирован 14.11.2024 № 2284)
Номер опубликования: 6601202411140024
Дата опубликования: 14.11.2024
Страница №5 из 13:
Увеличить