Приказ Управления государственной охраны объектов культурного наследия Свердловской области от 12.11.2024 № 711
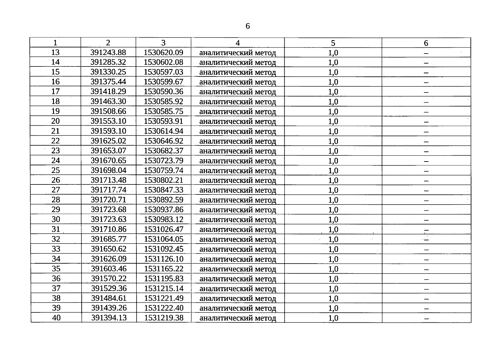
"Об утверждении графического описания местоположения границ защитной зоны объекта культурного наследия регионального значения "Комплекс Верх-Исетского металлургического завода" и входящих в его состав объектов культурного наследия регионального значения "Цех доменный и механический", "Цех кричный северный", "Цех кричный южный", "Корпус вспомогательных производств", "Фабрика литейная, механическая и слесарная", "Фабрика плющильная с магазином листового железа" и "Плотина заводского пруда", расположенных по адресу (местоположение): Свердловская область, г. Екатеринбург, территория ВИЗа, с перечнем координат характерных точек этих границ в системе координат, установленной для ведения Единого государственного реестра недвижимости, и режима использования земель в границах данной защитной зоны"
(Зарегистрирован 14.11.2024 № 2288)
"Об утверждении графического описания местоположения границ защитной зоны объекта культурного наследия регионального значения "Комплекс Верх-Исетского металлургического завода" и входящих в его состав объектов культурного наследия регионального значения "Цех доменный и механический", "Цех кричный северный", "Цех кричный южный", "Корпус вспомогательных производств", "Фабрика литейная, механическая и слесарная", "Фабрика плющильная с магазином листового железа" и "Плотина заводского пруда", расположенных по адресу (местоположение): Свердловская область, г. Екатеринбург, территория ВИЗа, с перечнем координат характерных точек этих границ в системе координат, установленной для ведения Единого государственного реестра недвижимости, и режима использования земель в границах данной защитной зоны"
(Зарегистрирован 14.11.2024 № 2288)
Номер опубликования: 6601202411140017
Дата опубликования:
14.11.2024
