Официальное опубликование правовых актов
ОФИЦИАЛЬНОЕ ОПУБЛИКОВАНИЕ
Приказ Управления государственной охраны объектов культурного наследия Свердловской области от 28.10.2024 № 681
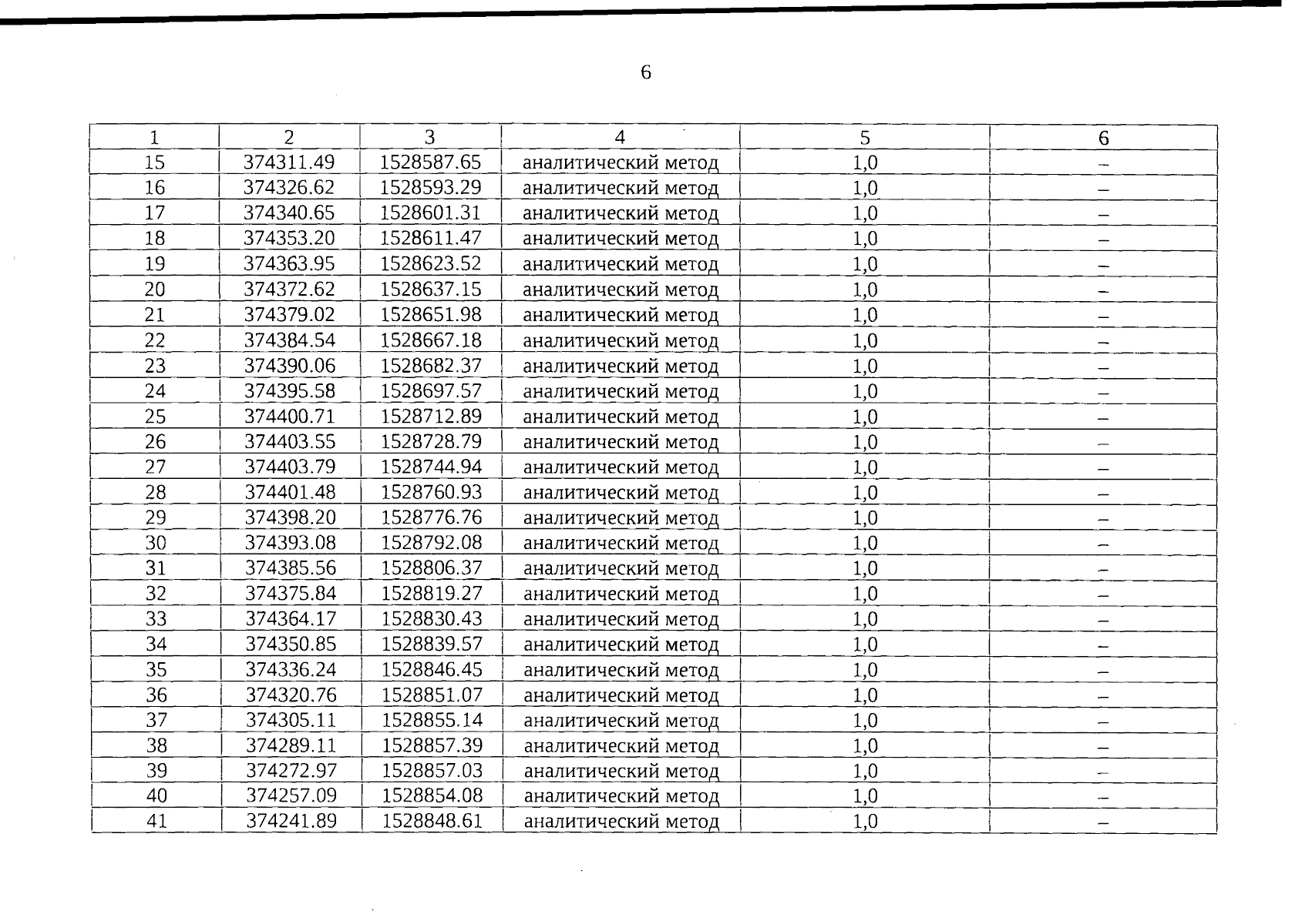
"Об утверждении графического описания местоположения границ защитной зоны объекта культурного наследия регионального значения "Церковь Покрова Пресвятой Богородицы", расположенного по адресу: Свердловская область, г. Екатеринбург, село Горный Щит, ул. Ленина, д. 12, с перечнем координат характерных точек этих границ в системе координат, установленной для ведения Единого государственного реестра недвижимости, и режима использования земель в границах данной защитной зоны"
(Зарегистрирован 29.10.2024 № 2228)
Номер опубликования: 6601202410290009
Дата опубликования: 29.10.2024
Страница №6 из 9:
Увеличить