Приказ Управления государственной охраны объектов культурного наследия Свердловской области от 14.10.2024 № 652
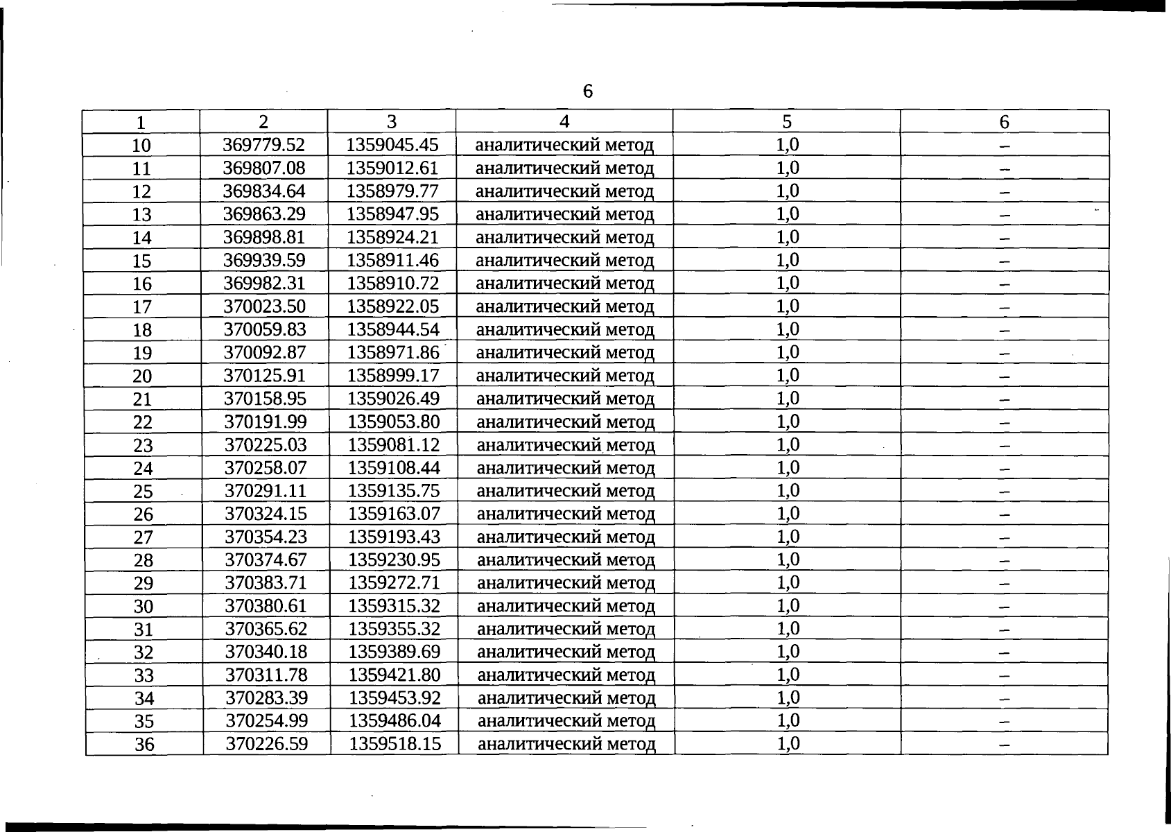
"Об утверждении графического описания местоположения границ защитной зоны объекта культурного наследия регионального значения "Комплекс на городском кладбище", расположенного по адресу: Свердловская область, г. Красноуфимск, ул. Транспортная, д. 1, и входящих в его состав объектов культурного наследия регионального значения "Церковь деревянная", "Ворота и ограда", "Часовня деревянная" и "Часовня каменная", расположенных по адресу: Свердловская область, г. Красноуфимск, ул. Транспортная, д. 1-а, с перечнем координат характерных точек этих границ в системе координат, установленной для ведения Единого государственного реестра недвижимости, и режима использования земель в границах данной защитной зоны"
(Зарегистрирован 16.10.2024 № 2169)
"Об утверждении графического описания местоположения границ защитной зоны объекта культурного наследия регионального значения "Комплекс на городском кладбище", расположенного по адресу: Свердловская область, г. Красноуфимск, ул. Транспортная, д. 1, и входящих в его состав объектов культурного наследия регионального значения "Церковь деревянная", "Ворота и ограда", "Часовня деревянная" и "Часовня каменная", расположенных по адресу: Свердловская область, г. Красноуфимск, ул. Транспортная, д. 1-а, с перечнем координат характерных точек этих границ в системе координат, установленной для ведения Единого государственного реестра недвижимости, и режима использования земель в границах данной защитной зоны"
(Зарегистрирован 16.10.2024 № 2169)
Номер опубликования: 6601202410170009
Дата опубликования:
17.10.2024
