Официальное опубликование правовых актов
ОФИЦИАЛЬНОЕ ОПУБЛИКОВАНИЕ
Приказ Управления государственной охраны объектов культурного наследия Свердловской области от 14.10.2024 № 651
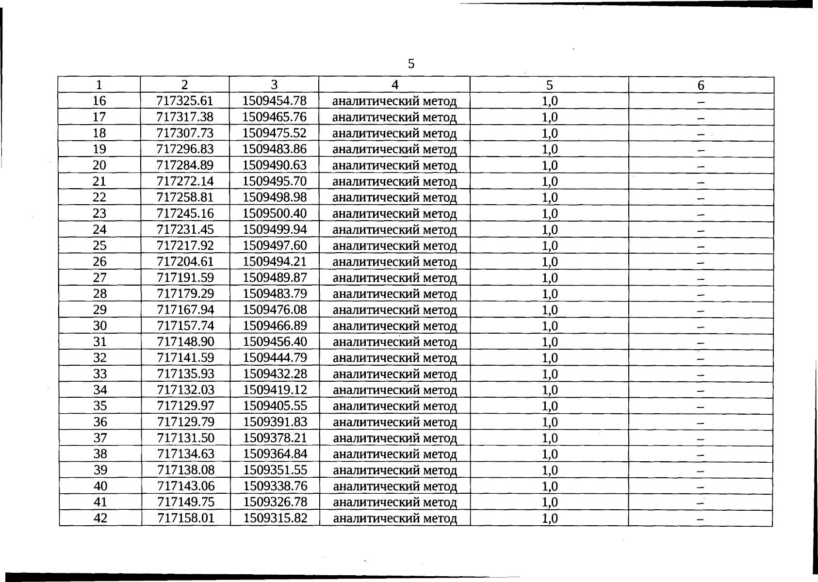
"Об утверждении графического описания местоположения границ защитной зоны объекта культурного наследия регионального значения "Часовня Александра Невского", расположенного по адресу: Свердловская область, г. Краснотурьинск, ул. Октябрьская, д. 53/1, с перечнем координат характерных точек этих границ в системе координат, установленной для ведения Единого государственного реестра недвижимости, и режима использования земель в границах данной защитной зоны"
(Зарегистрирован 16.10.2024 № 2168)
Номер опубликования: 6601202410170007
Дата опубликования: 17.10.2024
Страница №5 из 8:
Увеличить