Официальное опубликование правовых актов
ОФИЦИАЛЬНОЕ ОПУБЛИКОВАНИЕ
Приказ Управления государственной охраны объектов культурного наследия Свердловской области от 14.10.2024 № 649
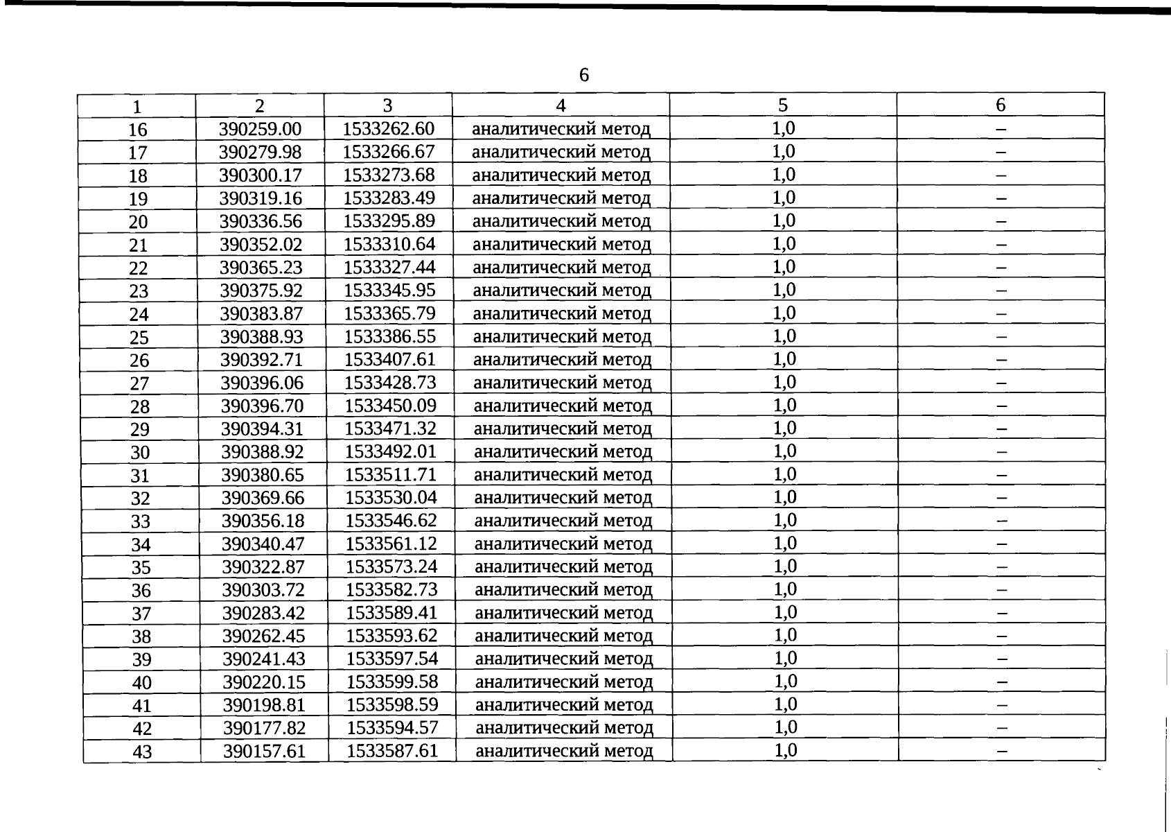
"Об утверждении графического описания местоположения границ защитной зоны объекта культурного наследия регионального значения "Усадьба мещанина А.Р. Кожурина" и входящих в его состав объектов культурного наследия регионального значения "Дом жилой" и "Лавка", расположенных по адресу: Свердловская область, г. Екатеринбург, ул. Вайнера, д. 42, с перечнем координат характерных точек этих границ в системе координат, установленной для ведения Единого государственного реестра недвижимости, и режима использования земель в границах данной защитной зоны"
(Зарегистрирован 16.10.2024 № 2166)
Номер опубликования: 6601202410170004
Дата опубликования: 17.10.2024
Страница №6 из 9:
Увеличить