Официальное опубликование правовых актов
ОФИЦИАЛЬНОЕ ОПУБЛИКОВАНИЕ
Приказ Управления государственной охраны объектов культурного наследия Свердловской области от 26.07.2024 № 468
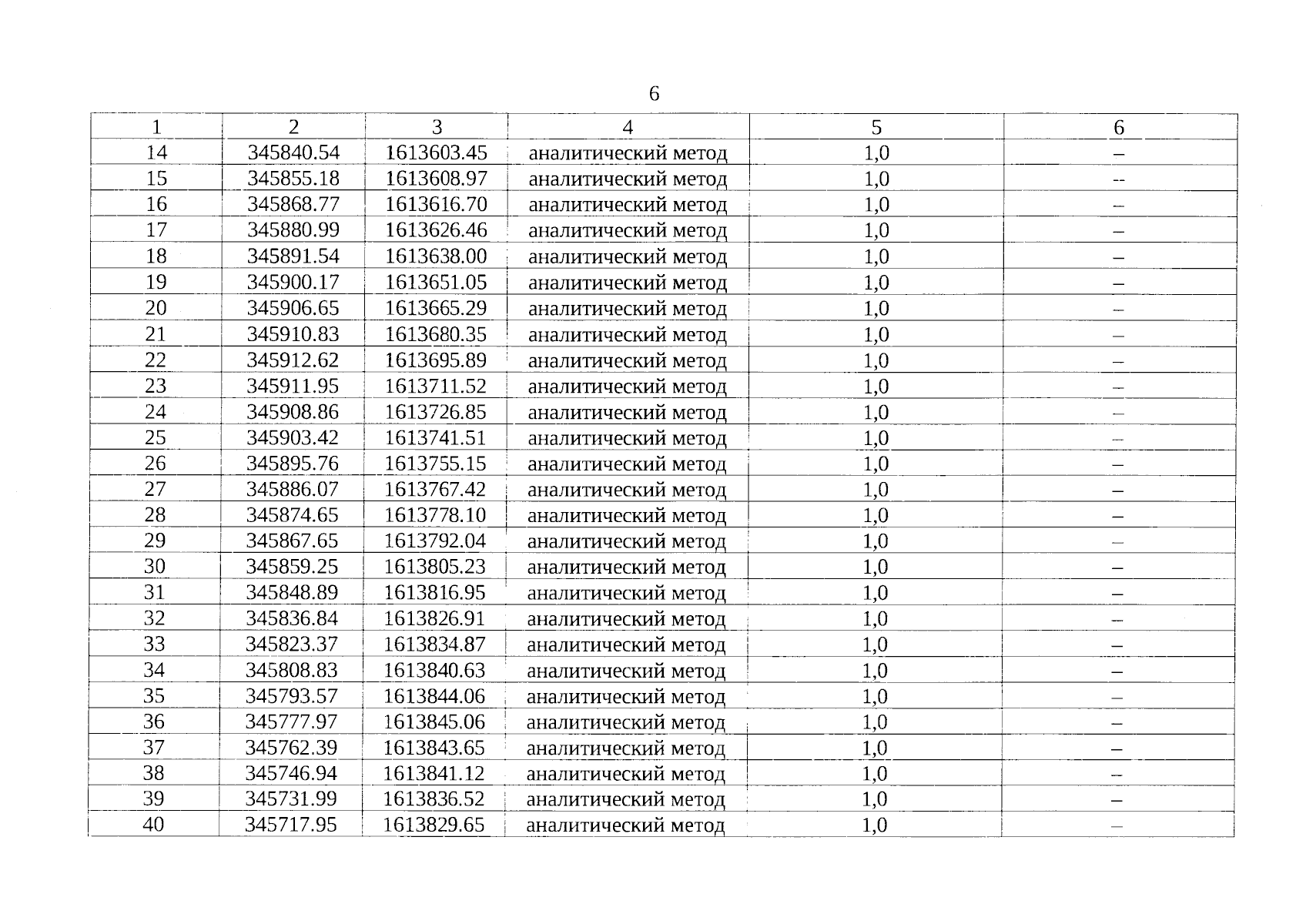
"Об утверждении графического описания местоположения границ защитной зоны объекта культурного наследия регионального значения "Подпорная стенка старой плотины на р. Каменке из бутового камня", расположенного по адресу (местоположение): Свердловская область, г. Каменск-Уральский, угол ул. Коммуны и ул. Карла Маркса, с перечнем координат характерных точек этих границ в системе координат, установленной для ведения Единого государственного реестра недвижимости, и режима использования земель в границах данной защитной зоны"
(Зарегистрирован 29.07.2024 № 1876)
Номер опубликования: 6601202407310003
Дата опубликования: 31.07.2024
Страница №6 из 9:
Увеличить