Приказ Управления государственной охраны объектов культурного наследия Свердловской области от 19.07.2024 № 459
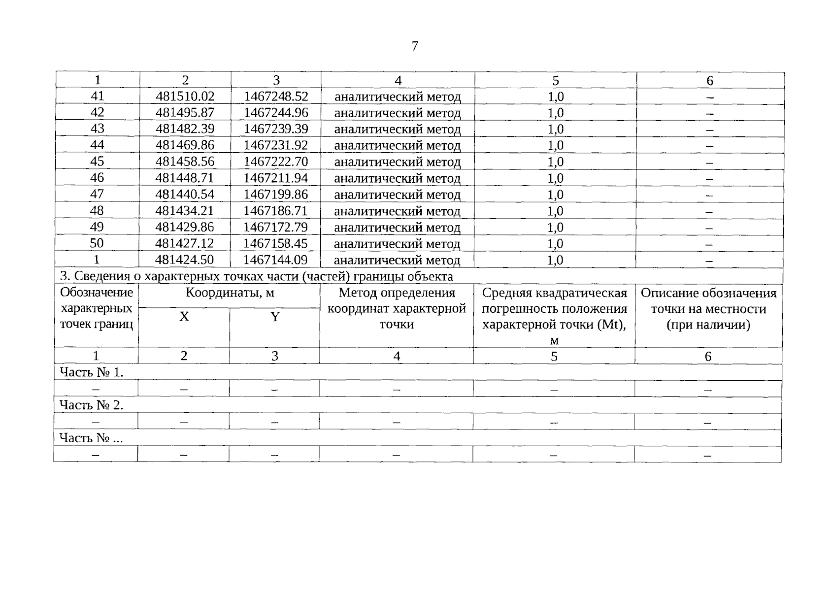
"Об утверждении графического описания местоположения границ защитной зоны объекта культурного наследия регионального значения "Дом, где в 1852 г. родился и провел детские годы писатель Д.Н. Мамин-Сибиряк", расположенного по адресу: Свердловская область, Горноуральский городской округ, пос. Висим, ул. Мамина-Сибиряка, д. 9, с перечнем координат характерных точек этих границ в системе координат, установленной для ведения Единого государственного реестра недвижимости, и режима использования земель в границах данной защитной зоны"
(Зарегистрирован 22.07.2024 № 1854)
"Об утверждении графического описания местоположения границ защитной зоны объекта культурного наследия регионального значения "Дом, где в 1852 г. родился и провел детские годы писатель Д.Н. Мамин-Сибиряк", расположенного по адресу: Свердловская область, Горноуральский городской округ, пос. Висим, ул. Мамина-Сибиряка, д. 9, с перечнем координат характерных точек этих границ в системе координат, установленной для ведения Единого государственного реестра недвижимости, и режима использования земель в границах данной защитной зоны"
(Зарегистрирован 22.07.2024 № 1854)
Номер опубликования: 6601202407230011
Дата опубликования:
23.07.2024
