Официальное опубликование правовых актов
ОФИЦИАЛЬНОЕ ОПУБЛИКОВАНИЕ
Приказ Территориального отраслевого исполнительного органа государственной власти Свердловской области - Управления социальной политики Министерства социальной политики Свердловской области № 2 от 13.05.2024 № 426
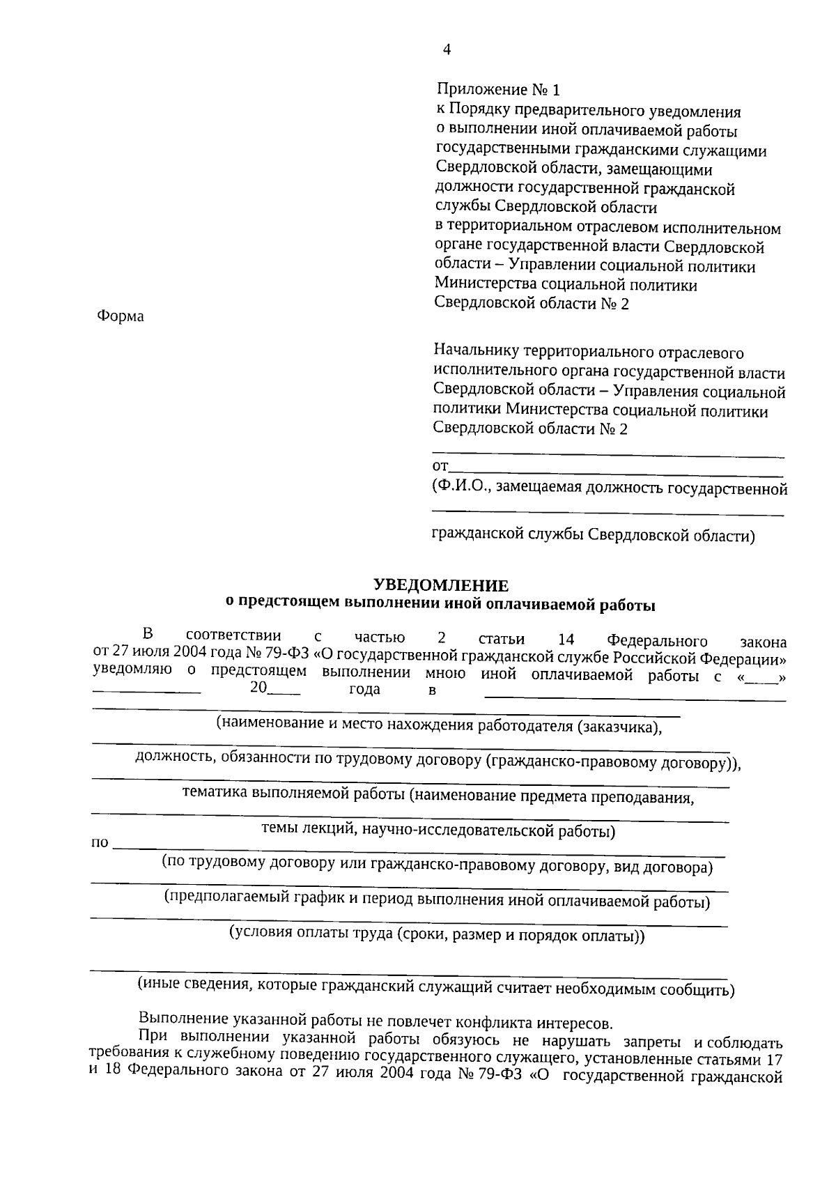
"Об утверждении порядка предварительного уведомления о выполнении иной оплачиваемой работы государственными гражданскими служащими Свердловской области, замещающими должности государственной гражданской службы Свердловской области в территориальном отраслевом исполнительном органе государственной власти Свердловской области – Управлении социальной политики Министерства социальной политики Свердловской области № 2"
(Зарегистрирован 20.05.2024 № 1644)
Номер опубликования: 6601202405200012
Дата опубликования: 20.05.2024
Страница №4 из 6:
Увеличить