Приказ Министерства по управлению государственным имуществом Свердловской области от 08.05.2024 № 3088
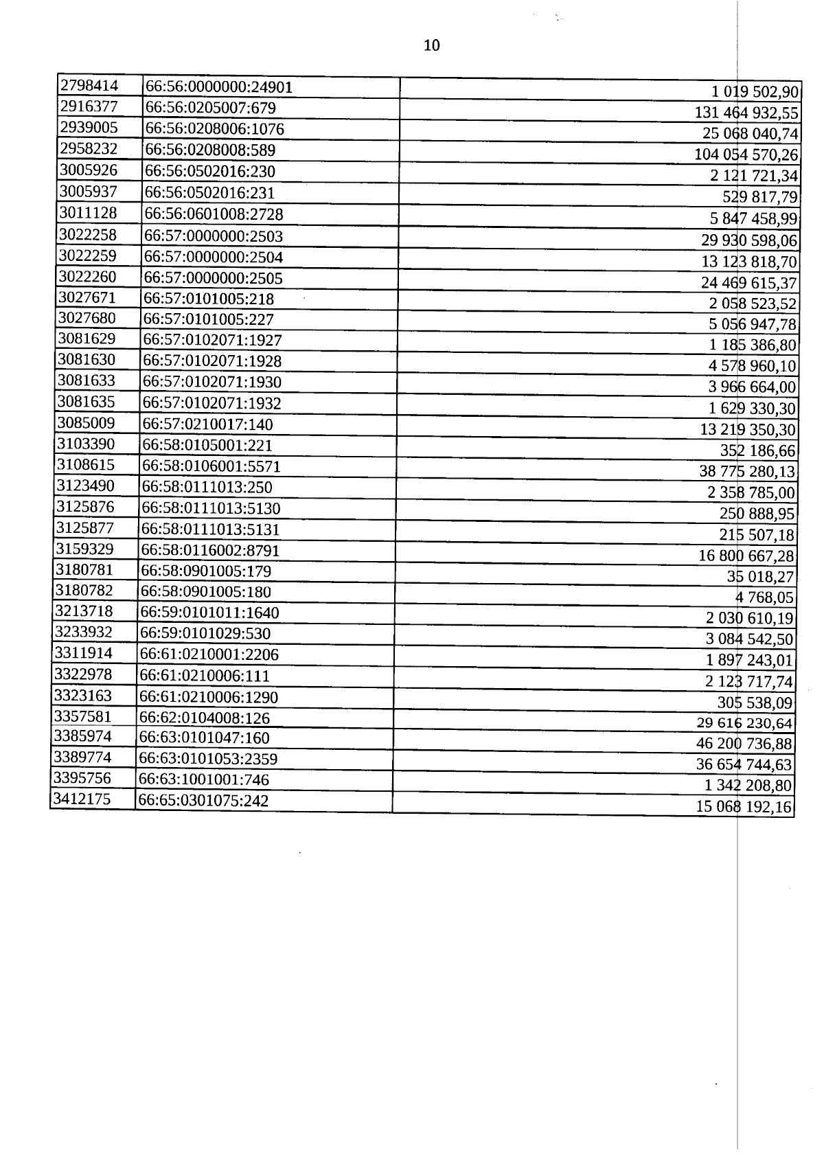
"О внесении изменений в Результаты определения кадастровой стоимости объектов недвижимости, расположенных на территории Свердловской области: зданий, помещений, сооружений, объектов незавершённого строительства, машино-мест, утвержденные приказом Министерства по управлению государственным имуществом Свердловской области от 22.08.2023 № 4800"
(Зарегистрирован 16.05.2024 № 1641)
"О внесении изменений в Результаты определения кадастровой стоимости объектов недвижимости, расположенных на территории Свердловской области: зданий, помещений, сооружений, объектов незавершённого строительства, машино-мест, утвержденные приказом Министерства по управлению государственным имуществом Свердловской области от 22.08.2023 № 4800"
(Зарегистрирован 16.05.2024 № 1641)
Номер опубликования: 6601202405200003
Дата опубликования:
20.05.2024
