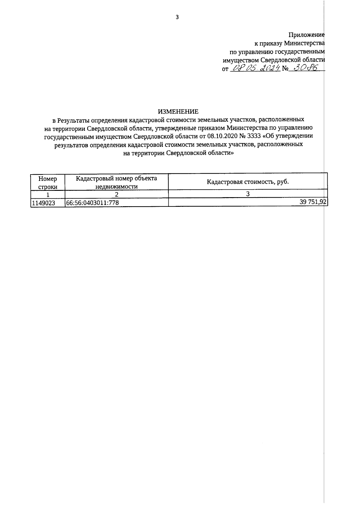
Приказ Министерства по управлению государственным имуществом Свердловской области от 08.05.2024 № 3086
"О внесении изменения в Результаты определения кадастровой стоимости земельных участков, расположенных на территории Свердловской области, утвержденные приказом Министерства по управлению государственным имуществом Свердловской области от 08.10.2020 № 3333"
(Зарегистрирован 16.05.2024 № 1639)
"О внесении изменения в Результаты определения кадастровой стоимости земельных участков, расположенных на территории Свердловской области, утвержденные приказом Министерства по управлению государственным имуществом Свердловской области от 08.10.2020 № 3333"
(Зарегистрирован 16.05.2024 № 1639)
Номер опубликования: 6601202405200001
Дата опубликования:
20.05.2024
