Официальное опубликование правовых актов
ОФИЦИАЛЬНОЕ ОПУБЛИКОВАНИЕ
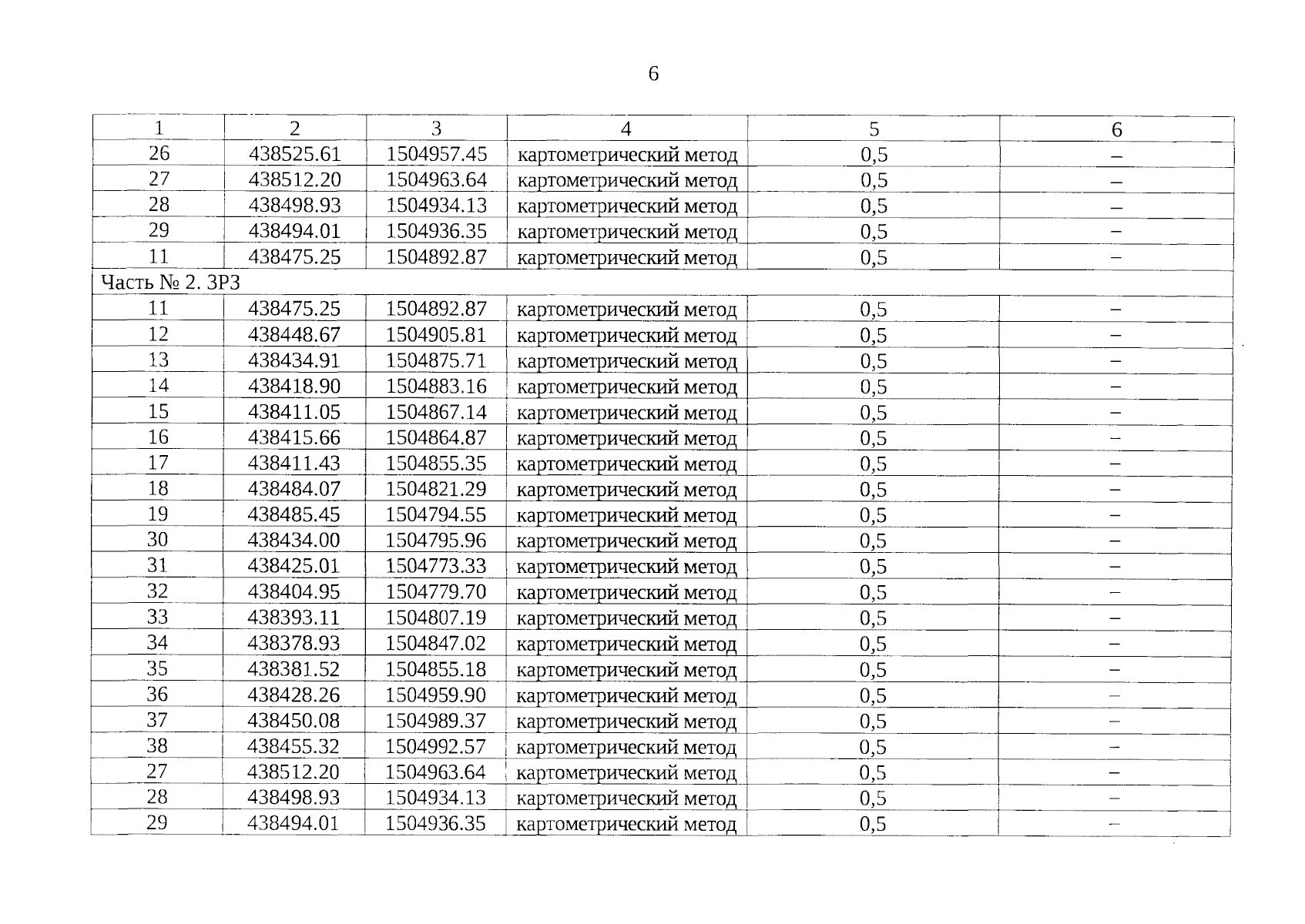
Приказ Управления государственной охраны объектов культурного наследия Свердловской области от 08.04.2024 № 215
"Об установлении зон охраны объекта культурного наследия федерального значения "Контора Верх-Нейвинского завода (Дом-графин)", расположенного по адресу: Свердловская область, городской округ Верх-Нейвинский, п.г.т. Верх-Нейвинский, пл. Революции, д. 3, и утверждении требований к градостроительным регламентам в границах данных зон"
(Зарегистрирован 09.04.2024 № 1529)
Номер опубликования: 6601202404090007
Дата опубликования: 09.04.2024
Страница №6 из 14:
Увеличить