Официальное опубликование правовых актов
ОФИЦИАЛЬНОЕ ОПУБЛИКОВАНИЕ
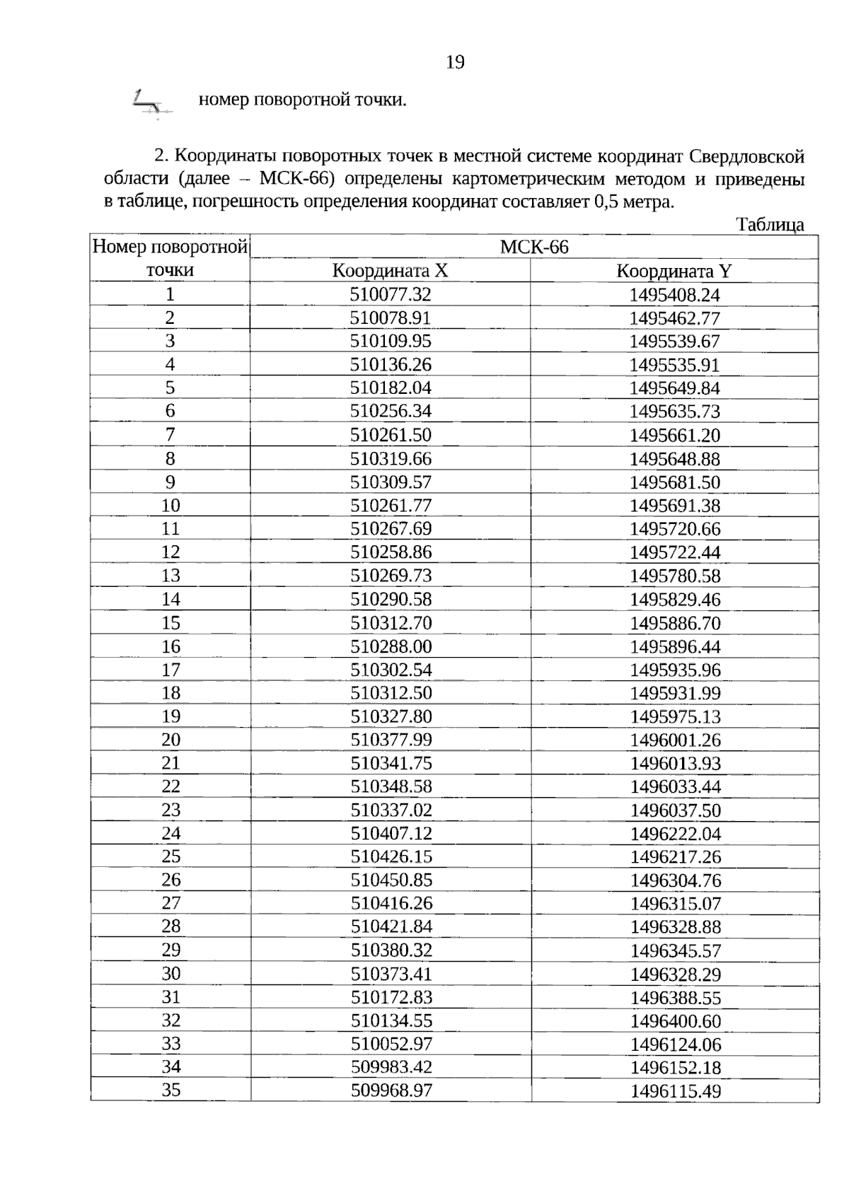
Приказ Управления государственной охраны объектов культурного наследия Свердловской области от 28.02.2024 № 113
"О включении выявленного объекта культурного наследия "Исторический квартал застройки 1950-х годов центральной части города Нижний Тагил, ограниченный проспектами Строителей, Мира, Ленина, а также Театральной площадью", расположенного по адресу (местоположение): Свердловская область, г. Нижний Тагил, в границах проспектов Строителей, Мира и Ленина, в единый государственный реестр объектов культурного наследия (памятников истории и культуры) народов Российской Федерации с наименованием "Историческая застройка середины XX века центральной части города Нижний Тагил", утверждении предмета охраны, границ территории данного объекта культурного наследия и режима использования его территории"
(Зарегистрирован 29.02.2024 № 1368)
Номер опубликования: 6601202402290005
Дата опубликования: 29.02.2024
Страница №19 из 24:
Увеличить