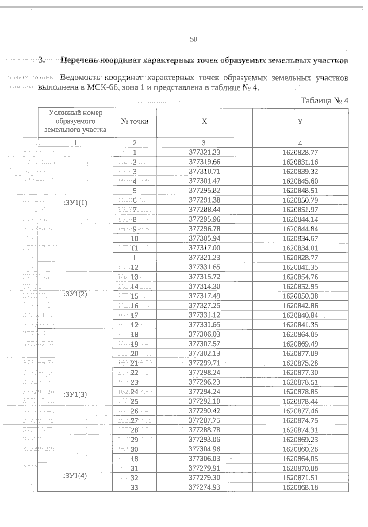
Приказ Министерства строительства и развития инфраструктуры Свердловской области от 06.02.2024 № 44-П
"Об утверждении основной части проекта планировки территории для размещения линейного объекта транспортной инфраструктуры регионального значения «Реконструкция мостового перехода через р. Большую Калиновку на км 9+390 автомобильной дороги г. Богданович – с. Ляпустино – п. Луч на территории городского округа Богданович» и основной части проекта межевания территории для размещения линейного объекта транспортной инфраструктуры регионального значения «Реконструкция мостового перехода через р. Большую Калиновку на км 9+390 автомобильной дороги г. Богданович – с. Ляпустино – п. Луч на территории городского округа Богданович»"
(Зарегистрирован 09.02.2024 № 1299)
"Об утверждении основной части проекта планировки территории для размещения линейного объекта транспортной инфраструктуры регионального значения «Реконструкция мостового перехода через р. Большую Калиновку на км 9+390 автомобильной дороги г. Богданович – с. Ляпустино – п. Луч на территории городского округа Богданович» и основной части проекта межевания территории для размещения линейного объекта транспортной инфраструктуры регионального значения «Реконструкция мостового перехода через р. Большую Калиновку на км 9+390 автомобильной дороги г. Богданович – с. Ляпустино – п. Луч на территории городского округа Богданович»"
(Зарегистрирован 09.02.2024 № 1299)
Номер опубликования: 6601202402120006
Дата опубликования:
12.02.2024
