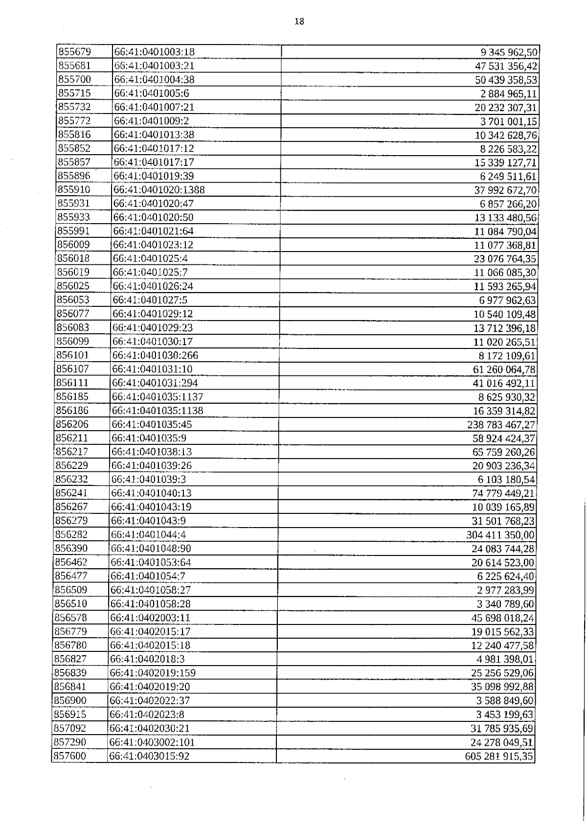
Приказ Министерства по управлению государственным имуществом Свердловской области от 19.12.2023 № 7538
"О внесении изменений в Результаты определения кадастровой стоимости земельных участков, расположенных на территории Свердловской области, утвержденные приказом Министерства по управлению государственным имуществом Свердловской области от 21.11.2022 № 5500"
(Зарегистрирован 22.12.2023 № 1086)
"О внесении изменений в Результаты определения кадастровой стоимости земельных участков, расположенных на территории Свердловской области, утвержденные приказом Министерства по управлению государственным имуществом Свердловской области от 21.11.2022 № 5500"
(Зарегистрирован 22.12.2023 № 1086)
Номер опубликования: 6601202312250005
Дата опубликования:
25.12.2023
