Официальное опубликование правовых актов
ОФИЦИАЛЬНОЕ ОПУБЛИКОВАНИЕ
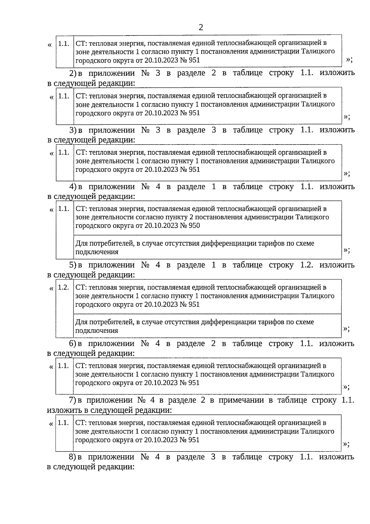
Постановление Региональной энергетической комиссии Свердловской области от 22.11.2023 № 119-ПК
"О внесении изменений в постановление Региональной энергетической комиссии Свердловской области от 15.11.2022 № 166-ПК "Об установлении тарифов на тепловую энергию (услуги по передаче тепловой энергии) на территории Талицкого городского округа и о внесении изменений в отдельные постановления Региональной энергетической комиссии Свердловской области об установлении тарифов на тепловую энергию (услуги по передаче тепловой энергии) на территории Талицкого городского округа"
(Зарегистрирован 27.11.2023 № 924)
Номер опубликования: 6601202311290010
Дата опубликования: 29.11.2023
Страница №2 из 3:
Увеличить