Приказ Управления государственной охраны объектов культурного наследия Свердловской области от 30.10.2023 № 670
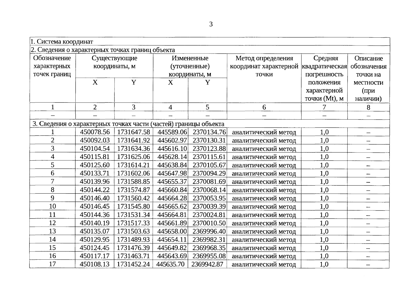
"О внесении изменения в графическое описание местоположения границ защитной зоны объекта культурного наследия регионального значения "Деревянная часовня", расположенного по адресу: Свердловская область, Байкаловский район, д. Занина, с перечнем координат характерных точек этих границ в системе координат, установленной для ведения Единого государственного реестра недвижимости, утвержденное приказом Управления государственной охраны объектов культурного наследия Свердловской области от 14.10.2022 № 802"
(Зарегистрирован 07.11.2023 № 843)
"О внесении изменения в графическое описание местоположения границ защитной зоны объекта культурного наследия регионального значения "Деревянная часовня", расположенного по адресу: Свердловская область, Байкаловский район, д. Занина, с перечнем координат характерных точек этих границ в системе координат, установленной для ведения Единого государственного реестра недвижимости, утвержденное приказом Управления государственной охраны объектов культурного наследия Свердловской области от 14.10.2022 № 802"
(Зарегистрирован 07.11.2023 № 843)
Номер опубликования: 6601202311080006
Дата опубликования:
08.11.2023
