Приказ Управления государственной охраны объектов культурного наследия Свердловской области от 23.10.2023 № 651
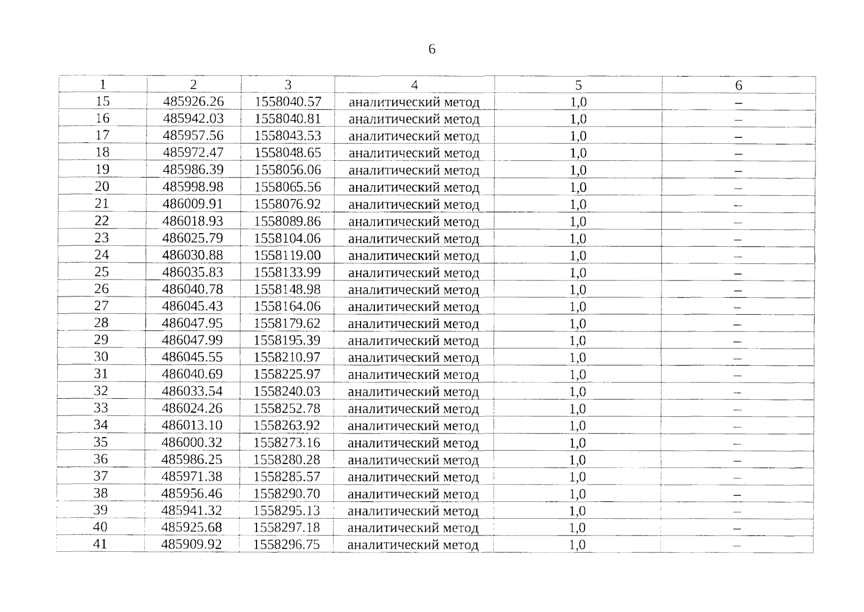
"Об утверждении графического описания местоположения границ защитной зоны объекта культурного наследия регионального значения "Церковь Сретения", расположенного по адресу: Свердловская область, Горноуральский городской округ, с. Мурзинка, ул. Декабристов, здание 14А, с перечнем координат характерных точек этих границ в системе координат, установленной для ведения Единого государственного реестра недвижимости, и режима использования земель в границах данной защитной зоны"
(Зарегистрирован 25.10.2023 № 795)
"Об утверждении графического описания местоположения границ защитной зоны объекта культурного наследия регионального значения "Церковь Сретения", расположенного по адресу: Свердловская область, Горноуральский городской округ, с. Мурзинка, ул. Декабристов, здание 14А, с перечнем координат характерных точек этих границ в системе координат, установленной для ведения Единого государственного реестра недвижимости, и режима использования земель в границах данной защитной зоны"
(Зарегистрирован 25.10.2023 № 795)
Номер опубликования: 6601202310250002
Дата опубликования:
25.10.2023
