Официальное опубликование правовых актов
ОФИЦИАЛЬНОЕ ОПУБЛИКОВАНИЕ
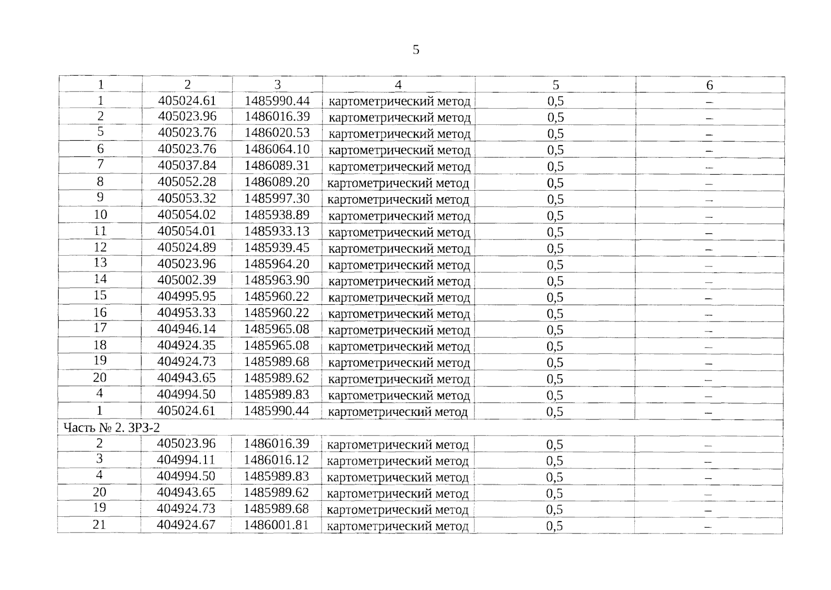
Приказ Управления государственной охраны объектов культурного наследия Свердловской области от 02.10.2023 № 600
"Об установлении зон охраны объекта культурного наследия регионального значения "Дом Н.А. Тунева", расположенного по адресу: Свердловская область, г. Первоуральск, п. Билимбай, ул. Орджоникидзе, стр. 1, и утверждении требований к градостроительным регламентам в границах данных зон"
(Зарегистрирован 03.10.2023 № 720)
Номер опубликования: 6601202310030016
Дата опубликования: 03.10.2023
Страница №5 из 13:
Увеличить