Официальное опубликование правовых актов
ОФИЦИАЛЬНОЕ ОПУБЛИКОВАНИЕ
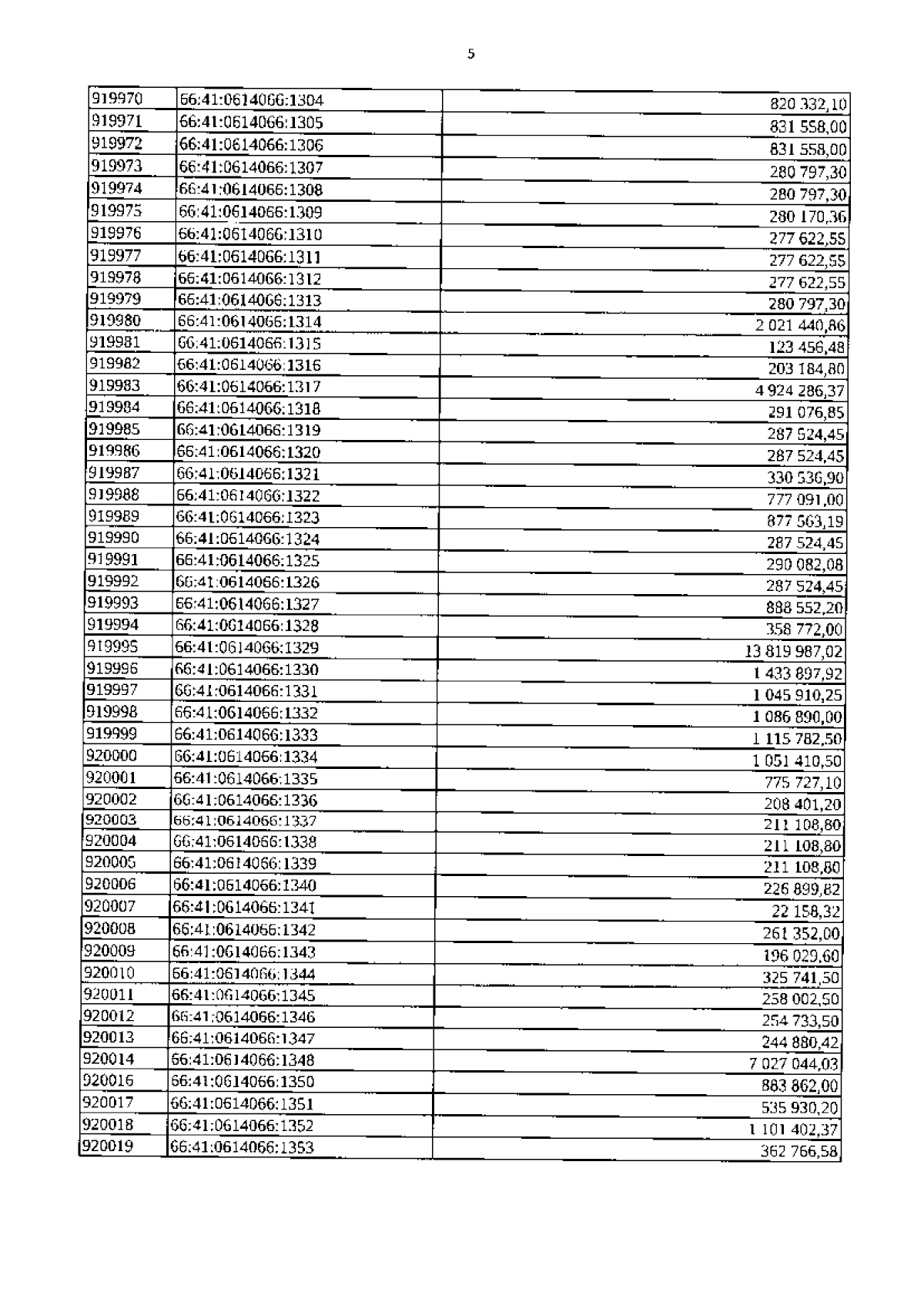
Приказ Министерства по управлению государственным имуществом Свердловской области от 31.08.2023 № 4965
"О внесении изменений в Результаты определения кадастровой стоимости земельных участков, расположенных на территории Свердловской области, утвержденные приказом Министерства по управлению государственным имуществом Свердловской области от 21.11.2022 № 5500"
(Зарегистрирован 04.09.2023 № 621)
Номер опубликования: 6601202309050002
Дата опубликования: 05.09.2023
Страница №5 из 5:
Увеличить