Официальное опубликование правовых актов
ОФИЦИАЛЬНОЕ ОПУБЛИКОВАНИЕ
Приказ Управления государственной охраны объектов культурного наследия Свердловской области от 16.08.2023 № 517
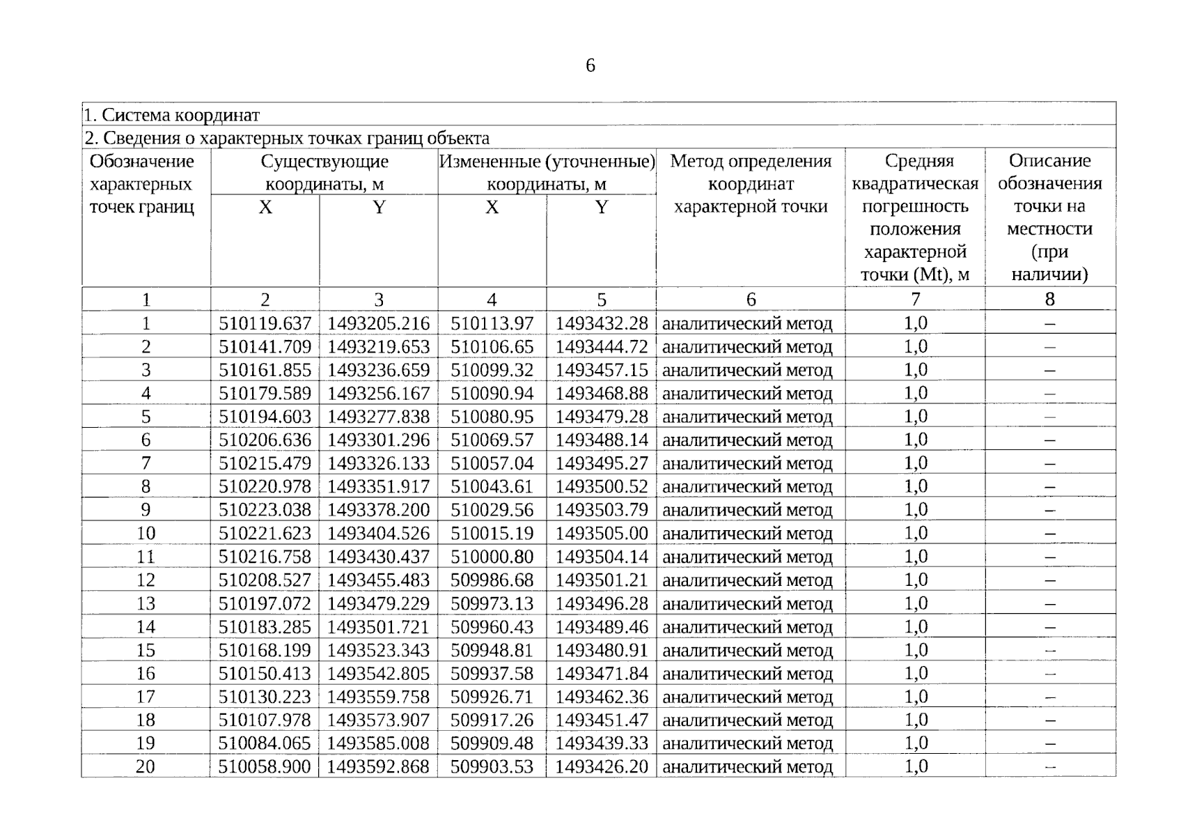
"Об утверждении графического описания местоположения границ защитной зоны объекта культурного наследия регионального значения "Дом, в котором находился рабочий клуб и в 1905 г. выступал Я.М. Свердлов", расположенного по адресу: Свердловская область, г. Нижний Тагил, ул. Тагильская, д. 31, с перечнем координат характерных точек этих границ в системе координат, установленной для ведения Единого государственного реестра недвижимости, и режима использования земель в границах данной защитной зоны"
(Зарегистрирован 17.08.2023 № 571 )
Номер опубликования: 6601202308170006
Дата опубликования: 17.08.2023
Страница №6 из 9:
Увеличить