Официальное опубликование правовых актов
ОФИЦИАЛЬНОЕ ОПУБЛИКОВАНИЕ
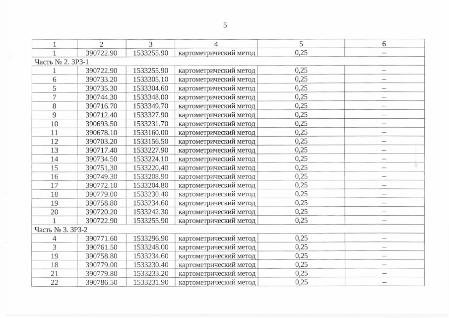
Приказ Управления государственной охраны объектов культурного наследия Свердловской области от 18.05.2023 № 303
"Об установлении зон охраны объекта культурного наследия регионального значения "Дом городского головы Симанова как пример городского особняка второй половины XIX в.", расположенного по адресу: Свердловская область, г. Екатеринбург, ул. Попова, д. 4, и утверждении требований к градостроительным регламентам в границах данных зон"
(Зарегистрирован 19.05.2023 № 236)
Номер опубликования: 6601202305190008
Дата опубликования: 19.05.2023
Страница №5 из 13:
Увеличить