Официальное опубликование правовых актов
ОФИЦИАЛЬНОЕ ОПУБЛИКОВАНИЕ
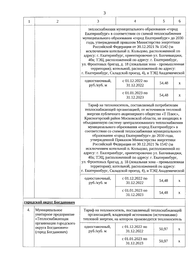
Постановление Региональной энергетической комиссии Свердловской области от 15.11.2022 № 202-ПК
"Об установлении тарифов на теплоноситель, поставляемый теплоснабжающими организациями Свердловской области, с использованием метода экономически обоснованных расходов (затрат)"
Номер опубликования: 6601202211210016
Дата опубликования: 21.11.2022
Страница №3 из 5:
Увеличить