Приказ Управления государственной охраны объектов культурного наследия Свердловской области от 12.10.2022 № 773
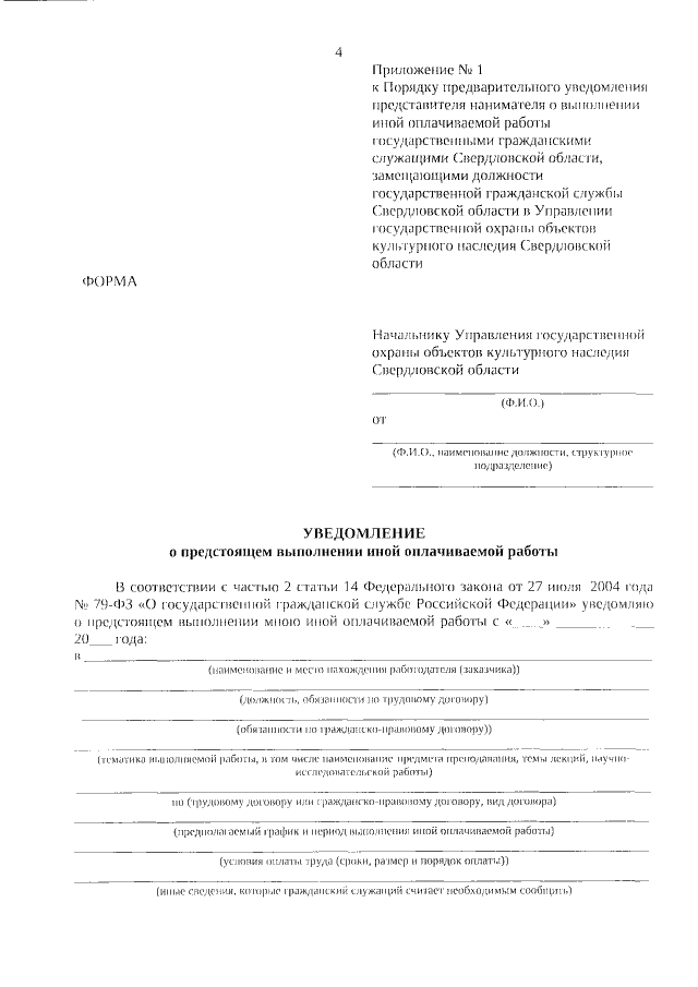
"Об утверждении Порядка предварительного уведомления представителя нанимателя о выполнении иной оплачиваемой работы государственными гражданскими служащими Свердловской области, замещающими должности государственной гражданской службы Свердловской области в Управлении государственной охраны объектов культурного наследия Свердловской области"
"Об утверждении Порядка предварительного уведомления представителя нанимателя о выполнении иной оплачиваемой работы государственными гражданскими служащими Свердловской области, замещающими должности государственной гражданской службы Свердловской области в Управлении государственной охраны объектов культурного наследия Свердловской области"
Номер опубликования: 6601202210130005
Дата опубликования:
13.10.2022
