Официальное опубликование правовых актов
ОФИЦИАЛЬНОЕ ОПУБЛИКОВАНИЕ
Приказ Управления государственной охраны объектов культурного наследия Свердловской области от 08.07.2022 № 445
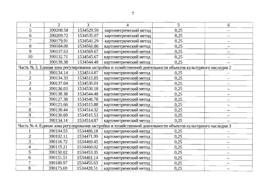
"Об установлении объединенной зоны охраны объектов культурного наследия регионального значения "Дом Размахина М.Я.", расположенного по адресу: Свердловская область, г. Екатеринбург, ул. Розы Люксембург, д. 39 /ул. Карла Маркса, д. 18, и "Дом А.Е. Шубиной", расположенного по адресу: Свердловская область, г. Екатеринбург, ул. Розы Люксембург, д. 43, и объекта культурного наследия местного (муниципального) значения "Дом А.С. Ягодкиной", расположенного по адресу: Свердловская область, г. Екатеринбург, ул. Розы Люксембург, д. 45, и утверждении требований к градостроительным регламентам в границах данной зоны"
Номер опубликования: 6601202207120001
Дата опубликования: 12.07.2022
Страница №7 из 13:
Увеличить