Официальное опубликование правовых актов
ОФИЦИАЛЬНОЕ ОПУБЛИКОВАНИЕ
Приказ Министерства строительства и развития инфраструктуры Свердловской области от 11.05.2022 № 244-П
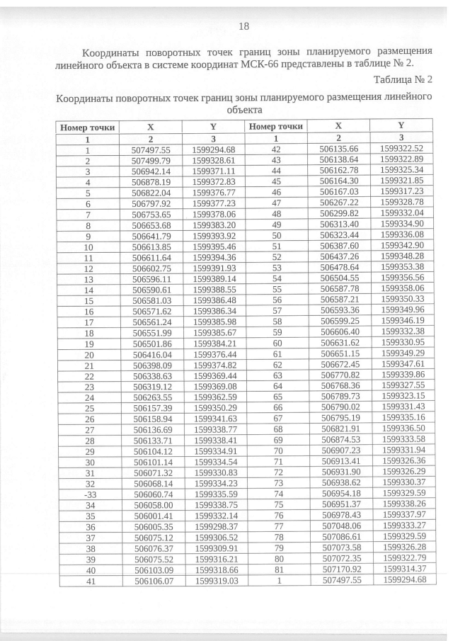
"Об утверждении основной части проекта планировки территории для размещения линейного объекта транспортной инфраструктуры регионального значения "Реконструкция автомобильной дороги г. Нижняя Салда – г. Алапаевск (строительство наружного освещения на участках км 75+500 – км 77+000, км 79+500 – км 80+000) на территории Муниципального образования Алапаевское и Муниципального образования город Алапаевск" и основной части проекта межевания территории для размещения линейного объекта транспортной инфраструктуры регионального значения "Реконструкция автомобильной дороги г. Нижняя Салда – г. Алапаевск (строительство наружного освещения на участках км 75+500 – км 77+000, км 79+500 – км 80+000) на территории Муниципального образования Алапаевское и Муниципального образования город Алапаевск"
Номер опубликования: 6601202205160003
Дата опубликования: 16.05.2022
Страница №18 из 97:
Увеличить