Официальное опубликование правовых актов
ОФИЦИАЛЬНОЕ ОПУБЛИКОВАНИЕ
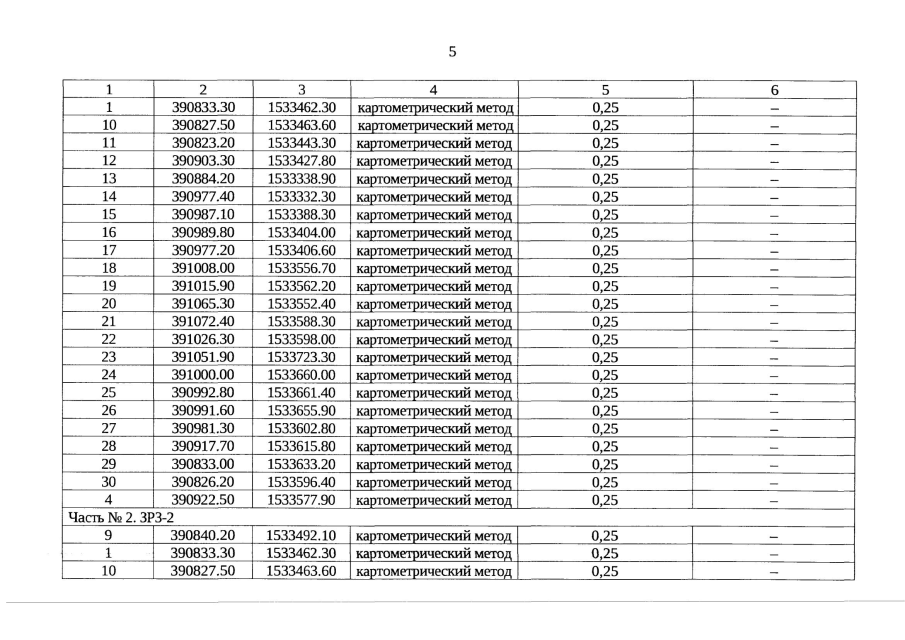
Приказ Управления государственной охраны объектов культурного наследия Свердловской области от 23.03.2022 № 148
"Об установлении зон охраны объекта культурного наследия регионального значения "Здание Горсовета", расположенного по адресу: Свердловская область, г. Екатеринбург, пр. Ленина, д. 24–а, и утверждении требований к градостроительным регламентам в границах данных зон"
Номер опубликования: 6601202203250004
Дата опубликования: 25.03.2022
Страница №5 из 11:
Увеличить