Официальное опубликование правовых актов
ОФИЦИАЛЬНОЕ ОПУБЛИКОВАНИЕ
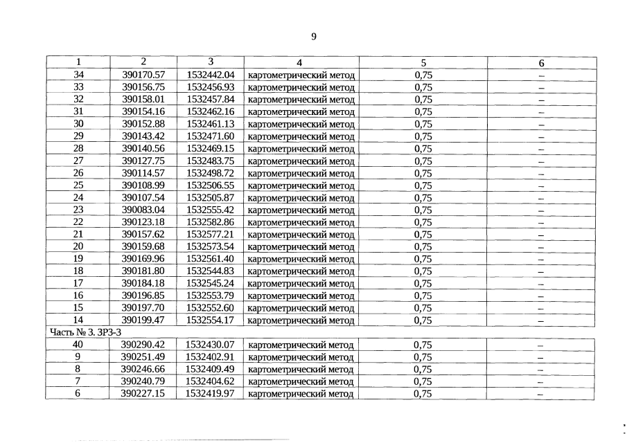
Приказ Управления государственной охраны объектов культурного наследия Свердловской области от 09.03.2022 № 111
"Об установлении зон охраны объекта культурного наследия регионального значения "Городок юстиции", расположенного по адресу: Свердловская область, г. Екатеринбург, ул. Малышева, и входящих в его состав объектов культурного наследия регионального значения "Дом юстиции", расположенного по адресу: Свердловская область, г. Екатеринбург, ул. Малышева, д. 2б, "Дом жилой", расположенного по адресу: Свердловская область, г. Екатеринбург, ул. Малышева, д. 2ж, и "Детский сад (Дом-улитка)", расположенного по адресу: Свердловская область, г. Екатеринбург, ул. Малышева, д. 2е, и утверждении требований к градостроительным регламентам в границах данных зон"
Номер опубликования: 6601202203100002
Дата опубликования: 10.03.2022
Страница №9 из 17:
Увеличить