Официальное опубликование правовых актов
ОФИЦИАЛЬНОЕ ОПУБЛИКОВАНИЕ
Постановление Региональной энергетической комиссии Свердловской области от 09.02.2022 № 20-ПК
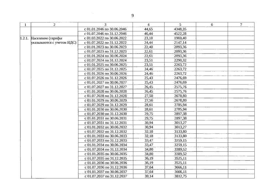
"Об установлении долгосрочных параметров регулирования, устанавливаемых на долгосрочный период регулирования для формирования тарифов на горячую воду в закрытых системах горячего водоснабжения с использованием метода индексации установленных тарифов, и долгосрочных тарифов на горячую воду в закрытых системах горячего водоснабжения, поставляемую публичным акционерным обществом "Т Плюс" (Красногорский район Московской области) потребителям городского округа Первоуральск, с использованием метода индексации установленных тарифов на основе долгосрочных параметров регулирования, на 2022–2046 годы"
Номер опубликования: 6601202202160005
Дата опубликования: 16.02.2022
Страница №9 из 13:
Увеличить