Официальное опубликование правовых актов
ОФИЦИАЛЬНОЕ ОПУБЛИКОВАНИЕ
Приказ Министерства строительства и развития инфраструктуры Свердловской области от 12.11.2021 № 608-П
"Об утверждении основной части проекта планировки территории для размещения линейного объекта транспортной инфраструктуры регионального значения "Реконструкция мостового перехода через Бугов ручей на км 4+772 автомобильной дороги "Подъезд к д. Емельяшевка от км 27+573 а/д "с. Таборы – д. Добрино" на территории Таборинского муниципального района" и основной части проекта межевания территории для размещения линейного объекта транспортной инфраструктуры регионального значения "Реконструкция мостового перехода через Бугов ручей на км 4+772 автомобильной дороги "Подъезд к д. Емельяшевка от км 27+573 а/д "с. Таборы – д. Добрино" на территории Таборинского муниципального района"
Номер опубликования: 6601202111160001
Дата опубликования: 16.11.2021
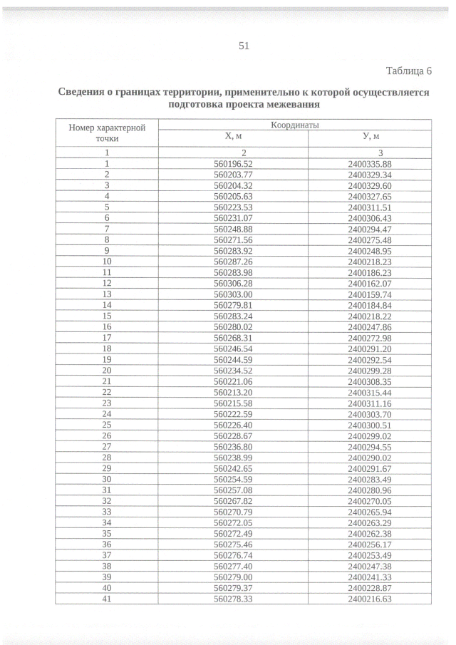
Страница №51 из 56:
Увеличить