Официальное опубликование правовых актов
ОФИЦИАЛЬНОЕ ОПУБЛИКОВАНИЕ
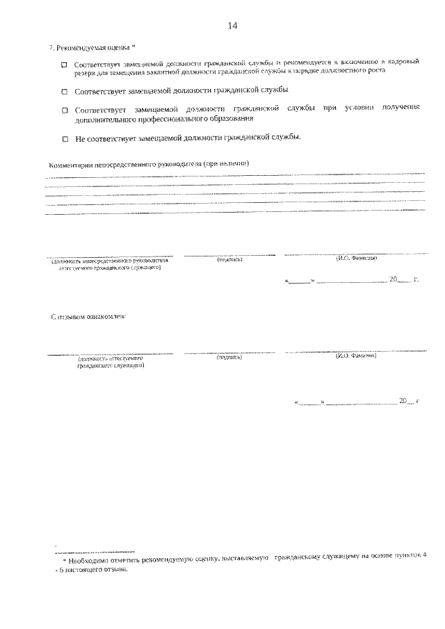
Приказ Управления делами Губернатора Свердловской области и Правительства Свердловской области от 23.04.2021 № 57
"Об утверждении порядка работы аттестационной комиссии Управления делами Губернатора Свердловской области и Правительства Свердловской области"
Номер опубликования: 6601202104300004
Дата опубликования: 30.04.2021
Страница №14 из 18:
Увеличить