Официальное опубликование правовых актов
ОФИЦИАЛЬНОЕ ОПУБЛИКОВАНИЕ
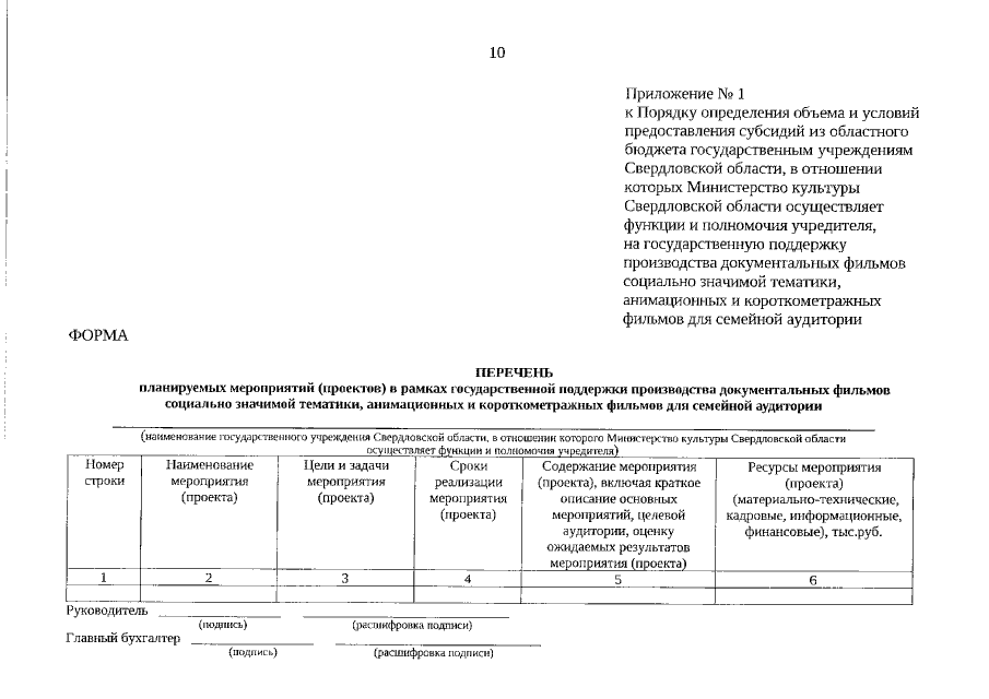
Приказ Министерства культуры Свердловской области от 08.04.2021 № 169
"Об утверждении Порядка определения объема и условий предоставления субсидий из областного бюджета государственным учреждениям Свердловской области, в отношении которых Министерство культуры Свердловской области осуществляет функции и полномочия учредителя, на государственную поддержку производства документальных фильмов социально значимой тематики, анимационных и короткометражных фильмов для семейной аудитории"
Номер опубликования: 6601202104120010
Дата опубликования: 12.04.2021
Страница №10 из 15:
Увеличить