Официальное опубликование правовых актов
ОФИЦИАЛЬНОЕ ОПУБЛИКОВАНИЕ
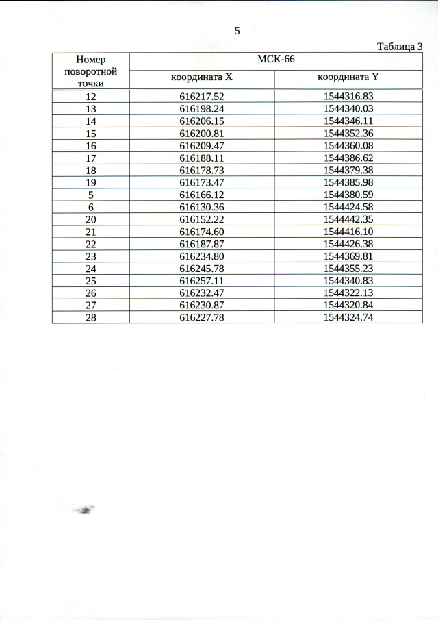
Приказ Управления государственной охраны объектов культурного наследия Свердловской области от 19.03.2021 № 64
"Об установлении зон охраны объекта культурного наследия регионального значения "Жилой дом", расположенного по адресу: Свердловская область, г. Верхотурье, ул. Карла Маркса, д. 21, и утверждении требований к градостроительным регламентам в границах данных зон"
Номер опубликования: 6601202103220010
Дата опубликования: 22.03.2021
Страница №5 из 11:
Увеличить