Официальное опубликование правовых актов
ОФИЦИАЛЬНОЕ ОПУБЛИКОВАНИЕ
Приказ Управления государственной охраны объектов культурного наследия Свердловской области от 09.02.2021 № 21
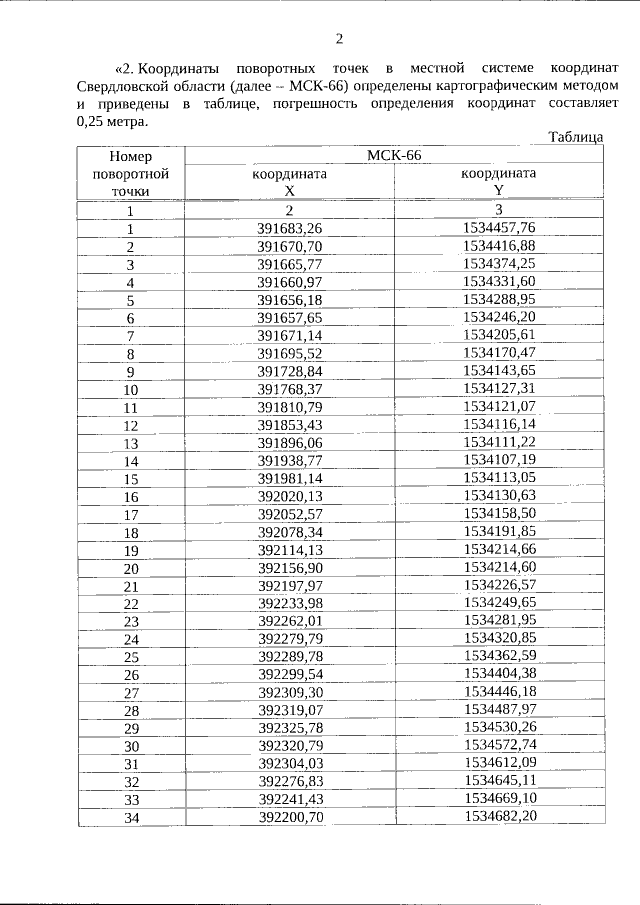
"О внесении изменения в графическое описание местоположения границ защитной зоны объекта культурного наследия федерального значения "Дом Харитонова", расположенного по адресу: Свердловская область, г. Екатеринбург, ул. Карла Либкнехта, д. 44, с перечнем координат характерных точек этих границ в системе координат, установленной для ведения Единого государственного реестра недвижимости, и режим использования земель в границах данной защитной зоны, утвержденные приказом Управления государственной охраны объектов культурного наследия Свердловской области от 31.08.2020 № 749"
Номер опубликования: 6601202102160007
Дата опубликования: 16.02.2021
Страница №2 из 3:
Увеличить