Постановление Региональной энергетической комиссии Свердловской области от 09.12.2020 № 228-ПК
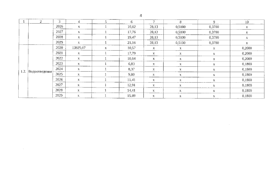
"Об установлении долгосрочных параметров регулирования, устанавливаемых на долгосрочный период регулирования для формирования тарифов на услуги холодного водоснабжения и водоотведения с использованием метода индексации установленных тарифов, и долгосрочных тарифов на услуги холодного водоснабжения и водоотведения, оказываемые обществом с ограниченной ответственностью "АВТ ПЛЮС" (город Екатеринбург) потребителям Тавдинского городского округа, с использованием метода индексации установленных тарифов на основе долгосрочных параметров регулирования на 2020–2029 годы"
"Об установлении долгосрочных параметров регулирования, устанавливаемых на долгосрочный период регулирования для формирования тарифов на услуги холодного водоснабжения и водоотведения с использованием метода индексации установленных тарифов, и долгосрочных тарифов на услуги холодного водоснабжения и водоотведения, оказываемые обществом с ограниченной ответственностью "АВТ ПЛЮС" (город Екатеринбург) потребителям Тавдинского городского округа, с использованием метода индексации установленных тарифов на основе долгосрочных параметров регулирования на 2020–2029 годы"
Номер опубликования: 6601202012160042
Дата опубликования:
16.12.2020
