Официальное опубликование правовых актов
ОФИЦИАЛЬНОЕ ОПУБЛИКОВАНИЕ
Приказ Управления государственной охраны объектов культурного наследия Свердловской области от 10.12.2020 № 1158
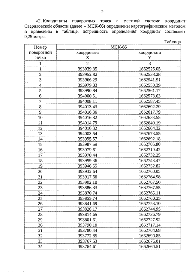
"О внесении изменения в графическое описание местоположения границ защитной зоны объекта культурного наследия регионального значения "Жилой дом", расположенного по адресу: Свердловская область, г. Камышлов, ул. Горького, д. 4, с перечнем координат характерных точек этих границ в системе координат, установленной для ведения Единого государственного реестра недвижимости, и режим использования земель в границах данной защитной зоны, утвержденные приказом Управления государственной охраны объектов культурного наследия Свердловской области от 04.09.2020 № 787"
Номер опубликования: 6601202012150046
Дата опубликования: 15.12.2020
Страница №2 из 3:
Увеличить