Официальное опубликование правовых актов
ОФИЦИАЛЬНОЕ ОПУБЛИКОВАНИЕ
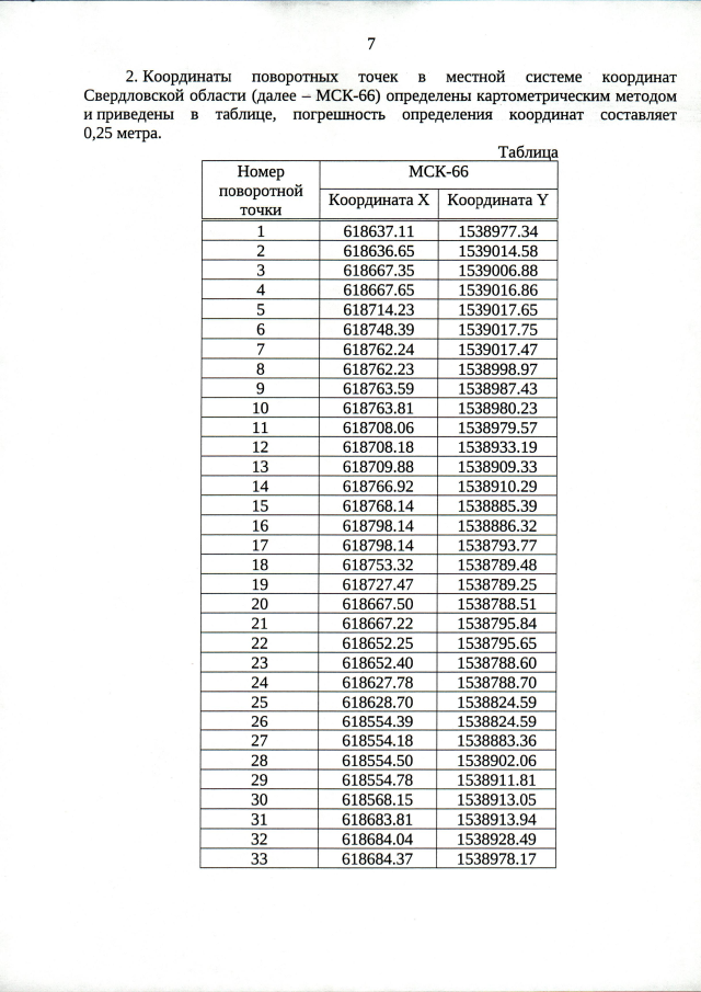
Приказ Управления государственной охраны объектов культурного наследия Свердловской области от 01.12.2020 № 1068
"Об утверждении границ территории объекта культурного наследия регионального значения "Ансамбль Верхотурского вокзала", расположенного по адресу: Свердловская область, г. Верхотурье, пос. Привокзальный, и входящих в его состав объектов культурного наследия регионального значения "Здание вокзала", расположенного по адресу: Свердловская область, г. Верхотурье, Вокзальная пл., "Жилой дом", расположенного по адресу: Свердловская область, г. Верхотурье, ул. Вокзальная, д. 4, "Жилой дом", расположенного по адресу: Свердловская область, г. Верхотурье, ул. Вокзальная, д. 6, "Жилой дом", расположенного по адресу: Свердловская область, г. Верхотурье, ул. Вокзальная, д. 7, "Жилой дом", расположенного по адресу: Свердловская область, г. Верхотурье, ул. Вокзальная, д. 8, "Жилой дом", расположенного по адресу: Свердловская область, г. Верхотурье, ул. Вокзальная, д. 9, "Жилой дом", расположенного по адресу: Свердловская область, г. Верхотурье, ул. Мира, д. 2, "Жилой дом", расположенного по адресу: Свердловская область, г. Верхотурье, ул. Мира, д. 4, и "Строение хозяйственное", расположенного по адресу: Свердловская область, г. Верхотурье, пл. Вокзальная, и режима использования данной территории"
Номер опубликования: 6601202012080014
Дата опубликования: 08.12.2020
Страница №7 из 9:
Увеличить