Официальное опубликование правовых актов
ОФИЦИАЛЬНОЕ ОПУБЛИКОВАНИЕ
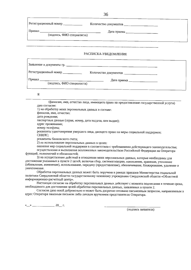
Приказ Министерства социальной политики Свердловской области от 01.12.2020 № 719
"Об утверждении Административного регламента предоставления государственной услуги "Предоставление ежегодной компенсации на оздоровление отдельным категориям граждан, подвергшихся воздействию радиации"
Номер опубликования: 6601202012040001
Дата опубликования: 04.12.2020
Страница №36 из 37:
Увеличить