Официальное опубликование правовых актов
ОФИЦИАЛЬНОЕ ОПУБЛИКОВАНИЕ
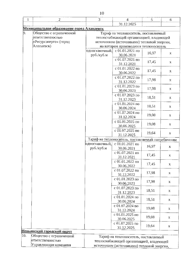
Постановление Региональной энергетической комиссии Свердловской области от 11.11.2020 № 138-ПК
"Об установлении тарифов на теплоноситель, поставляемый теплоснабжающими организациям Свердловской области, с использованием метода индексации установленных тарифов на основе долгосрочных параметров регулирования на 2021–2025 годы"
Номер опубликования: 6601202011170017
Дата опубликования: 17.11.2020
Страница №10 из 12:
Увеличить