Официальное опубликование правовых актов
ОФИЦИАЛЬНОЕ ОПУБЛИКОВАНИЕ
Постановление Региональной энергетической комиссии Свердловской области от 28.10.2020 № 122-ПК
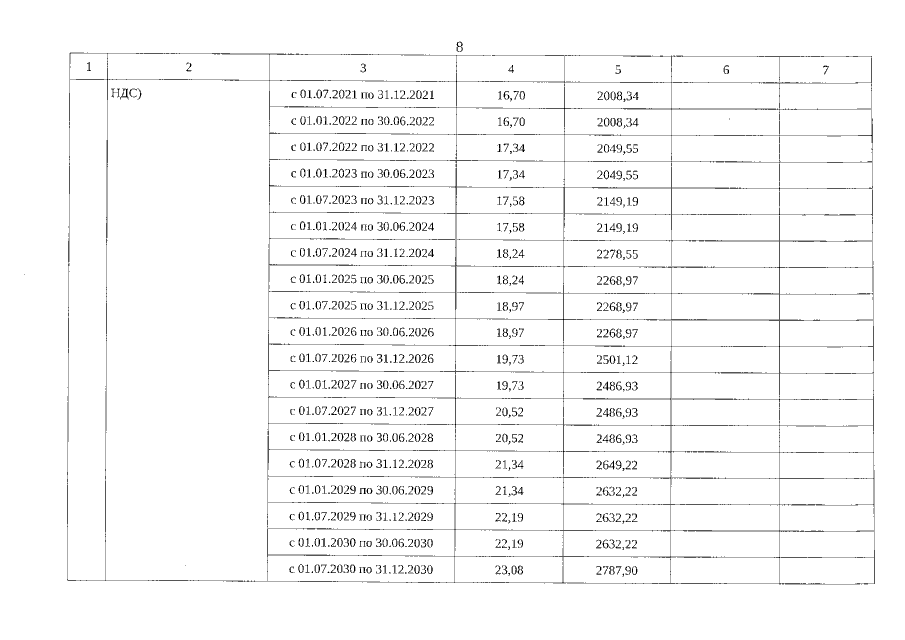
"Об установлении долгосрочных параметров регулирования, устанавливаемых на долгосрочный период регулирования для формирования тарифов на горячую воду в закрытых системах горячего водоснабжения с использованием метода индексации установленных тарифов, и долгосрочных тарифов на горячую воду в закрытых системах горячего водоснабжения, поставляемую публичным акционерным обществом "Т Плюс" (Красногорский район Московской области) потребителям Нижнетуринского городского округа, с использованием метода индексации установленных тарифов на основе долгосрочных параметров регулирования, на 2020–2049 годы"
Номер опубликования: 6601202011030019
Дата опубликования: 03.11.2020
Страница №8 из 10:
Увеличить