Постановление Региональной энергетической комиссии Свердловской области от 28.10.2020 № 124-ПК
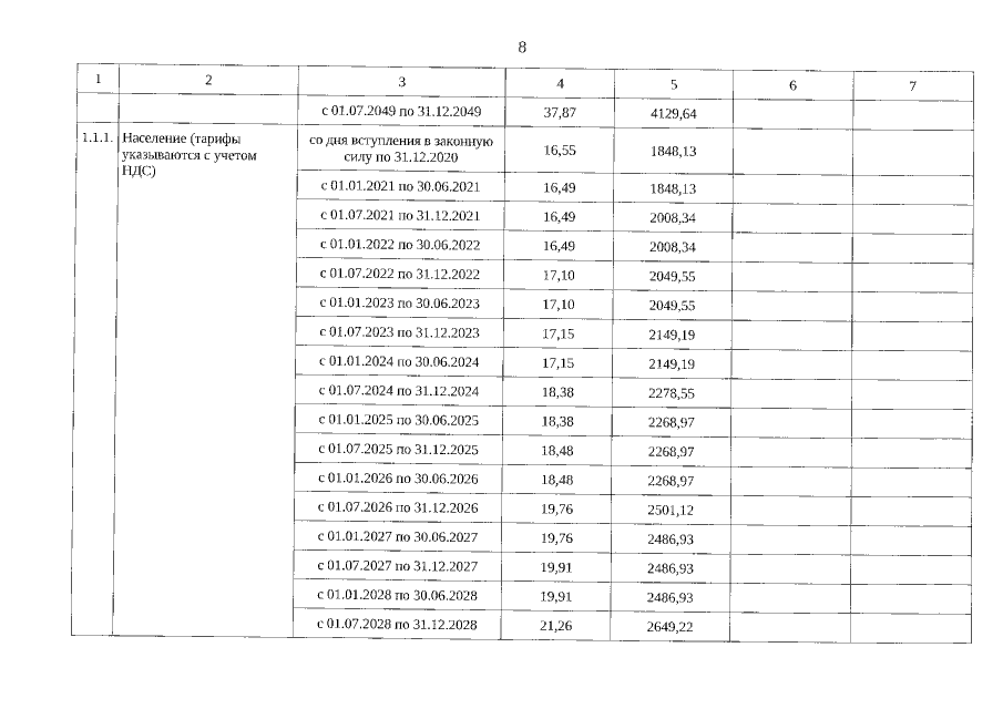
"Об установлении долгосрочных параметров регулирования, устанавливаемых на долгосрочный период регулирования для формирования тарифов на горячую воду в открытых системах теплоснабжения (горячего водоснабжения) с использованием метода индексации установленных тарифов, и долгосрочных тарифов на горячую воду в открытых системах теплоснабжения (горячего водоснабжения), поставляемую публичным акционерным обществом "Т Плюс" (Красногорский район Московской области) потребителям Нижнетуринского городского округа, с использованием метода индексации установленных тарифов на основе долгосрочных параметров регулирования, на 2020–2049 годы"
"Об установлении долгосрочных параметров регулирования, устанавливаемых на долгосрочный период регулирования для формирования тарифов на горячую воду в открытых системах теплоснабжения (горячего водоснабжения) с использованием метода индексации установленных тарифов, и долгосрочных тарифов на горячую воду в открытых системах теплоснабжения (горячего водоснабжения), поставляемую публичным акционерным обществом "Т Плюс" (Красногорский район Московской области) потребителям Нижнетуринского городского округа, с использованием метода индексации установленных тарифов на основе долгосрочных параметров регулирования, на 2020–2049 годы"
Номер опубликования: 6601202011030001
Дата опубликования:
03.11.2020
