Официальное опубликование правовых актов
ОФИЦИАЛЬНОЕ ОПУБЛИКОВАНИЕ
Приказ Министерства строительства и развития инфраструктуры Свердловской области от 09.10.2020 № 581-П
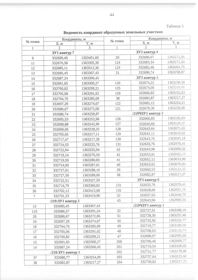
"Об утверждении основной части проекта планировки территории для размещения линейного объекта транспортной инфраструктуры регионального значения "Реконструкции автомобильной дороги д. Усть-Бугалыш – пос. Саргая – пос. Дегтярка – пос. Аяз республики Башкортостан на участке д. Усть-Бугалыш – пос. Саргая – пос. Дегтярка на территории муниципального образования Красноуфимский округ Свердловской области. I этап" и основной части проекта межевания территории для размещения линейного объекта транспортной инфраструктуры регионального значения "Реконструкции автомобильной дороги д. Усть-Бугалыш – пос. Саргая – пос. Дегтярка – пос. Аяз республики Башкортостан на участке д. Усть-Бугалыш – пос. Саргая – пос. Дегтярка на территории муниципального образования Красноуфимский округ Свердловской области. I этап"
Номер опубликования: 6601202010130010
Дата опубликования: 13.10.2020
Страница №44 из 53:
Увеличить