Официальное опубликование правовых актов
ОФИЦИАЛЬНОЕ ОПУБЛИКОВАНИЕ
Приказ Управления государственной охраны объектов культурного наследия Свердловской области от 11.06.2020 № 577
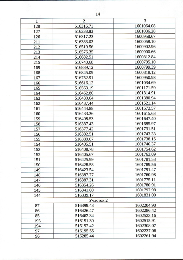
"Об установлении зон охраны объекта культурного наследия регионального значения "Музей народного деревянного зодчества под открытым небом" и входящих в его состав объектов культурного наследия регионального значения "Часовня Вознесения", "Часовня Савватея и Зосимы", "Часовня Ильи Пророка", "Часовня Александра Невского", "Пожарное депо", "Башня сторожевая", "Мельница-шатровка из с. Мытищинское", "Изба из д. Таборы", "Дом из с. Комельское", "Изба из д. Вогулка", "Амбар из д. Кулича", "Амбар из д. Попова", "Колодец с. Санкино", "Амбар из д. Кировское" и "Дом жилой", расположенных по адресу: Свердловская область, Алапаевский район, с. Нижняя Синячиха, и утверждении требований к градостроительным регламентам в границах данных зон"
Номер опубликования: 6601202006150003
Дата опубликования: 15.06.2020
Страница №14 из 25:
Увеличить