Официальное опубликование правовых актов
ОФИЦИАЛЬНОЕ ОПУБЛИКОВАНИЕ
Приказ Министерства социальной политики Свердловской области от 19.03.2020 № 147
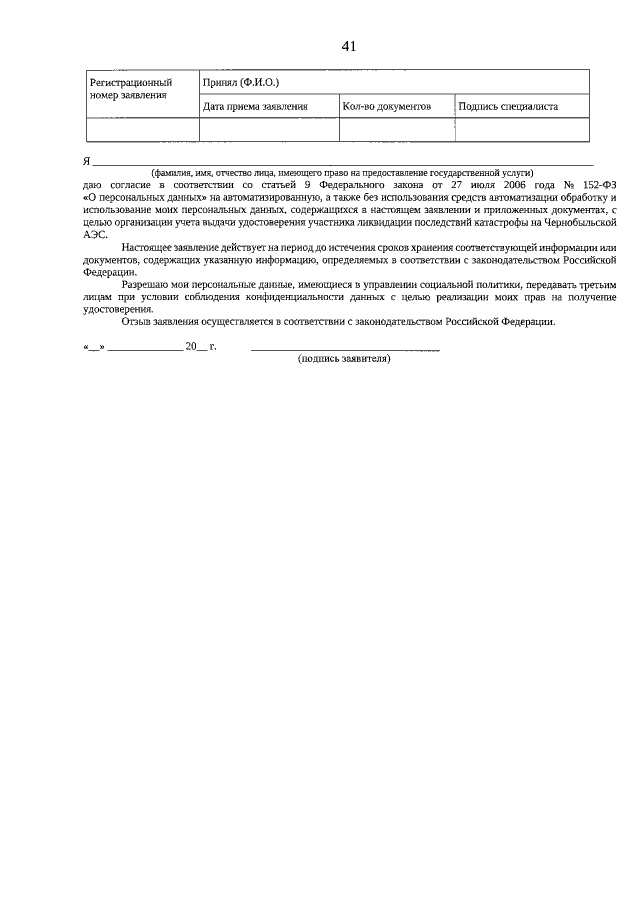
"О внесении изменений в приказ Министерства социальной политики Свердловской области от 29.07.2016 № 438 "Об утверждении Административного регламента предоставления государственной услуги "Оформление и выдача удостоверения участника ликвидации последствий катастрофы на Чернобыльской АЭС"
Номер опубликования: 6601202003200002
Дата опубликования: 20.03.2020
Страница №41 из 46:
Увеличить