Официальное опубликование правовых актов
ОФИЦИАЛЬНОЕ ОПУБЛИКОВАНИЕ
Приказ Министерства социальной политики Свердловской области от 22.01.2020 № 36
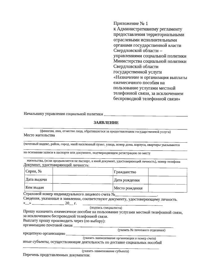
"О внесении изменений в приказ Министерства социальной политики Свердловской области от 28.12.2016 № 639 "Об утверждении Административного регламента предоставления территориальными отраслевыми исполнительными органами государственной власти Свердловской области – управлениями социальной политики Министерства социальной политики Свердловской области государственной услуги "Назначение и организация выплаты ежемесячного пособия на пользование услугами местной телефонной связи, за исключением беспроводной телефонной связи"
Номер опубликования: 6601202001230001
Дата опубликования: 23.01.2020
Страница №34 из 37:
Увеличить