Приказ Министерства социальной политики Свердловской области от 25.12.2019 № 639
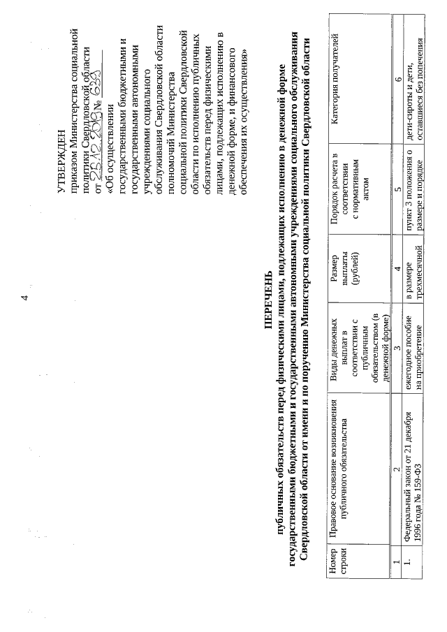
"Об осуществлении государственными бюджетными и государственными автономными учреждениями социального обслуживания Свердловской области полномочий Министерства социальной политики Свердловской области по исполнению публичных обязательств перед физическими лицами, подлежащих исполнению в денежной форме, и финансового обеспечения их осуществления"
"Об осуществлении государственными бюджетными и государственными автономными учреждениями социального обслуживания Свердловской области полномочий Министерства социальной политики Свердловской области по исполнению публичных обязательств перед физическими лицами, подлежащих исполнению в денежной форме, и финансового обеспечения их осуществления"
Номер опубликования: 6601201912270003
Дата опубликования:
27.12.2019
