Официальное опубликование правовых актов
ОФИЦИАЛЬНОЕ ОПУБЛИКОВАНИЕ
Постановление Региональной энергетической комиссии Свердловской области от 06.11.2019 № 130-ПК
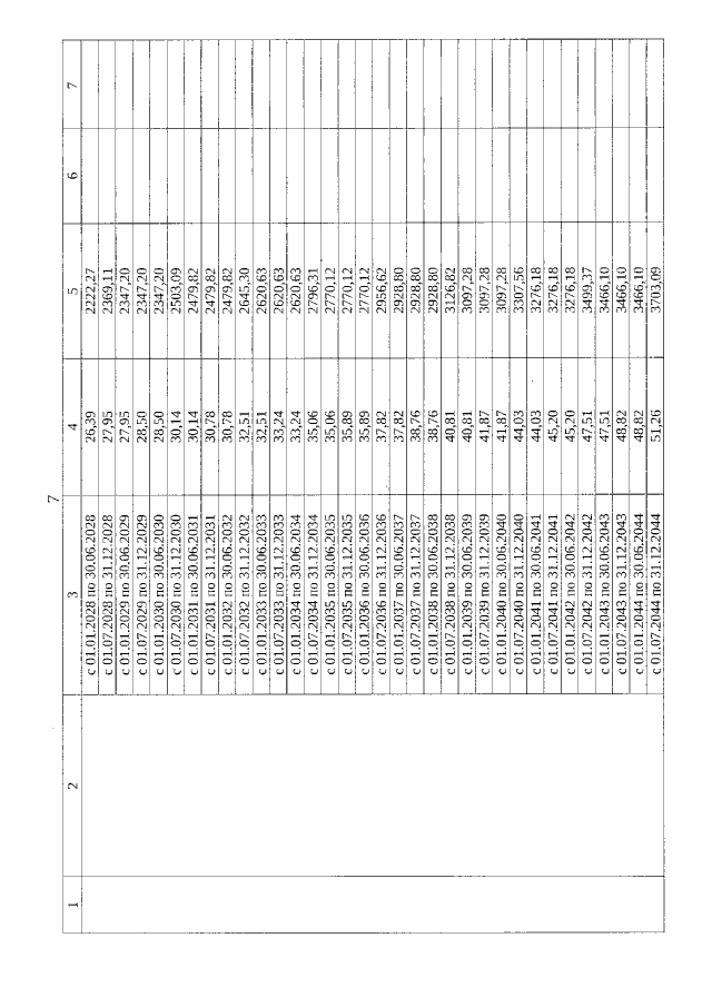
"Об установлении тарифов на горячую воду в открытых системах теплоснабжения (горячего водоснабжения), поставляемую обществом с ограниченной ответственностью "Полевская коммунальная компания Энерго" (город Полевской), с использованием метода индексации установленных тарифов на основе долгосрочных параметров регулирования тарифов на 2019–2049 годы"
Номер опубликования: 6601201911130010
Дата опубликования: 13.11.2019
Страница №7 из 8:
Увеличить