Официальное опубликование правовых актов
ОФИЦИАЛЬНОЕ ОПУБЛИКОВАНИЕ
Приказ Министерства строительства и развития инфраструктуры Свердловской области от 15.08.2019 № 516-П
"Об утверждении основной части проекта планировки территории для размещения линейного объекта транспортной инфраструктуры регионального значения "Реконструкция мостового перехода через р. Чусовую на км 4+334 автомобильной дороги с. Сулем – д. Илим на территории города Нижний Тагил" и основной части проекта межевания территории для размещения линейного объекта транспортной инфраструктуры регионального значения "Реконструкция мостового перехода через р. Чусовую на км 4+334 автомобильной дороги с. Сулем – д. Илим на территории города Нижний Тагил"
Номер опубликования: 6601201908200003
Дата опубликования: 20.08.2019
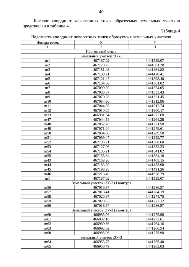
Страница №40 из 46:
Увеличить