Официальное опубликование правовых актов
ОФИЦИАЛЬНОЕ ОПУБЛИКОВАНИЕ
Приказ Министерства строительства и развития инфраструктуры Свердловской области от 12.07.2019 № 440-П
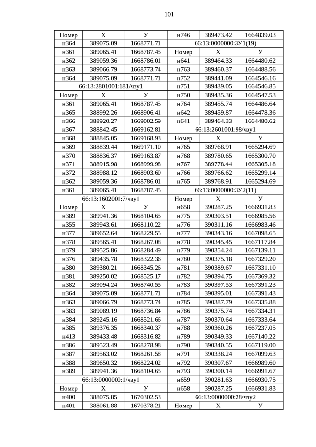
"Об утверждении основной части проекта планировки территории для размещения линейного объекта "Газопровод р. п. Пышма – п. Первомайский – г. Камышлов. II пусковой комплекс, газопровод п. Первомайский – г. Камышлов" и основной части проекта межевания территории для размещения линейного объекта "Газопровод р. п. Пышма – п. Первомайский – г. Камышлов. II пусковой комплекс, газопровод п. Первомайский – г. Камышлов"
Номер опубликования: 6601201907160001
Дата опубликования: 16.07.2019
Страница №101 из 140:
Увеличить